Question
Question: Write the structure of Leucine...
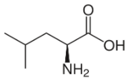
Write the structure of Leucine
Solution
Leucine is an essential, branched-chain amino acid ,required for the growth and repair of muscle, skin and bone. Leucine is the only amino acid that can stimulate muscle growth and help prevent the deterioration of muscle with age.
High leucine foods include chicken, beef, pork, fish (tuna), tofu, canned beans, milk, cheese, squash seeds, and eggs.
Complete step by step answer:

It is an essential α-amino acid. It contains an α-amino acid group and α- carboxyl group and a side chain iso - butyl group. It is non – polar aliphatic amino acid. It is an essential amino acid as it cannot be synthesised in the body.
Human dietary sources are dietary dairy products, meat, soy products, beans, legumes. High leucine foods include chicken, beef, pork, fish (tuna), tofu, canned beans, milk, cheese, squash seeds, and eggs. The recommended daily intake for leucine is 39 mg per - kg of body weight, or 17.7 mg per pound. A person weighing 70 kg should consume around 2730 mg of leucine per day.
Note:
Leucine is one of nine essential amino acids in humans (provided by food), Leucine is important for protein synthesis and many metabolic functions. Leucine contributes to regulation of blood-sugar levels; growth and repair of muscle and bone tissue; growth hormone production; and wound healing. Leucine also prevents breakdown of muscle proteins after trauma or severe stress and may be beneficial for individuals with phenylketonuria. Leucine is available in many foods and deficiency is rare.
