Question
Question: Write the reactions involved in the following: (a) Etard reaction (b) Stephen reduction...
Write the reactions involved in the following:
(a) Etard reaction
(b) Stephen reduction
Solution
Chemical reactions begin with reactants and end with products. Synthesis reactions bond reactants together, a process that requires energy, whereas decomposition reactions break the bonds within a reactant and thereby release energy. In exchange reactions, bonds are both broken and formed, and energy is exchanged
Complete step by step solution:
we have been given Etard and Stephen reaction:
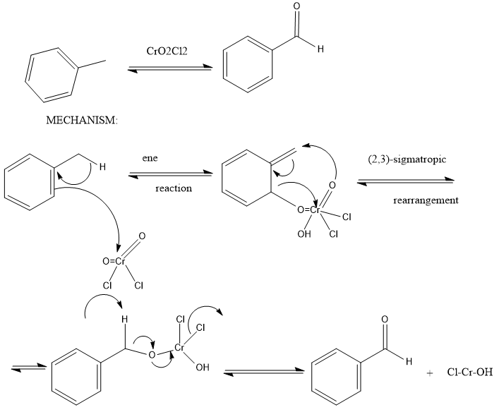
So, The Etard reaction is an oxidation reaction, and the specific oxidizing agent the Etard reaction employs is chromyl chloride. Chromyl chloride is a chromium-based, mild oxidizing agent that is excellent at making aldehydes.
The reactions involved in Etard reaction is:

Now, Stephen reaction: Stephen aldehyde synthesis, a named reaction in chemistry, was invented by Henry Stephen. This reaction involves the preparation of aldehydes from nitriles using tin (II) chloride, hydrochloric acid and quenching the resulting iminium salt with water. During the synthesis, ammonium chloride is also produced
The reaction involved in Stephen reaction is:

So, these are the reactions involving the Etard and Stephen reaction.
Note: When toluene is reacted with Chromyl Chloride then a chromium complex is formed (Etard Complex) whose hydrolysis gives Benzaldehyde. Here Chromyl Chloride is used to form an organic complex (Etard Complex) which can undergo hydrolysis to form the desired compound (in this case Benzaldehyde).
