Question
Question: Write the IUPAC name of the given compound. 
Solution
Hint IUPAC gives us some rules for the naming of organic compounds which can also be referred to as the nomenclature of organic compounds. IUPAC stands for International Union of Pure and Applied Chemistry.
Complete Step by step solution:
IUPAC nomenclature gives us information about writing the name of chemical compounds. There are some general rules for it. To write the name of this compound we have to follow some rules.
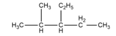
a. First select the longest chain of carbon atoms, in the given compound the longest chain is of 5 carbon atoms from left to right and we know that 5 carbon atom chains are known by the name pentane.
b. Now we see there is a methyl group present in the compound at 2nd position which is named as 2-methyl, 2 refers to its position.
c. Other than methyl group there is also an ethyl group present as 3rd position which is named as 3-ethyl where 3 represents the position of ethyl group.
d. Now the name will follow the alphabetical order and the IUPAC name of the compound will be 3-ethyl,2-methylpentane.
Hence 3-ethyl,2-methyl pentane is IUPAC name of the given compound.
Note: The main aim of the nomenclature IUPAC is to create an international standard for designating compounds to promote communication. The purpose of the system is to give a unique and unambiguous name to each structure so that no two structures' names get mixed or they can be identified easily.
