Question
Question: Write full name of DDT...
Write full name of DDT
Solution
It is the first modern synthetic insecticide. It was first used to control the effect of typhoid, malaria and many other insect borne diseases. It is used in both military and civilian populations. It is also used to control body lice.
Complete step by step answer:
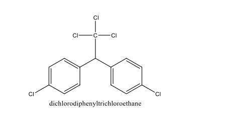
DDT is commonly known as Dichloro-Diphenyl-Trichloroethane. It is colourless, tasteless and odourless crystalline compound.

Structure of DDT
It was first synthesized by Austrian chemist Othmar Ziedler .It was used in world war II to treat typhus and malaria of the population and soldiers. It is highly hydrophobic. It is generally insoluble in water. It has good solubility in organic solvents and also in fats and oils. It does not occur naturally but it is synthesized using Friedel-crafts reaction between chloral and two equivalents of benzene generally chlorobenzene is used in the presence of an acidic catalyst. Its structure is similar to insecticide methoxychlor. When a high dose of DDT is taken its symptoms include vomiting, tremors and shakiness also. It has an effect on the liver. It also affects the reproductive health of human beings. It has bad effects too on humans along with good effects. Its cost of production is not too high. It acts as a great toxin for insects.
Note:
When it was used in world war II it increased the crop production. This has saved around 500 million lives from malaria. It became infamous for its environmental effects and got banned.
