Question
Question: Write down any two differences between nucleoside and nucleotide....
Write down any two differences between nucleoside and nucleotide.
Solution
Hint: Both nucleoside and nucleotide commonly consist of purine or pyrimidine bases and sugar moiety. Nucleotides are present in both RNA and DNA and nucleosides are not present in DNA or RNA.
Complete step by step answer:
DNA or RNA structures contain the backbone of nucleotides. The following are the differences between nucleoside and nucleotide.
| Nucleoside| Nucleotide
---|---|---
1| Nucleoside = Sugar + BaseExamples of nucleosides are adenosine, uridine, and cytidine etc.| Nucleotide = Sugar + Base + PhosphateExamples of nucleotides are adenosine monophosphate, adenine diphosphate, and adenosine triphosphate etc.
2| Nucleosides are not present in RNA and DNA| Nucleotides are present in RNA and DNA.
3| Several nucleoside equivalents are used as antiviral or anti cancer agents in medicine.| Faulty nucleotides are one of the main reasons for all cancers known today.
Nucleotide is made up of the sugar moiety, nitrogenous bases, and phosphate while the nucleoside is made up of sugar moiety and base only.
Additional information:
Through hydrolysis, the nucleotides are converted into nucleosides and phosphate. While by phosphorylation, the nucleosides are converted into nucleotides.

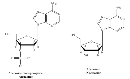
By the above structures we can clearly understand what a nucleotide is and what a nucleoside is. Phosphate groups present in the nucleotide and phosphate group are absent in the nucleoside.
Note: Don’t be confused with the terms Adenosine monophosphate and adenosine. Both are not the same.
Adenosine monophosphate-It consists of adenine, sugar moiety and one phosphate group.
Adenine: it consists of adenine and sugar moiety.
On hydrolysis of adenosine monophosphate we will get adenine.
