Question
Question: Write a note on starch....
Write a note on starch.
Solution
Starch is a polymeric carbohydrate that consists of numerous glucose units joined together by glycosidic bonds. It is a white, tasteless and odorless powder and it consists of two types of molecules known as amylose and amylopectin.
Complete step by step answer:
-Starch is one of the most important dietary sources for human beings. We can find the high content of starch in cereals, roots and also in some of the vegetables. In simple words, it can be defined as the most complex carbohydrate compound. It is a renewable and biodegradable product and hence acts as a perfect raw material and a substitute for fossil fuel components, in making detergents, glues, plastics etc.
-The iodine test is the test which is mainly performed to test the presence of starch. Now, starch contains two types of components i.e. Amylose and Amylopectin.
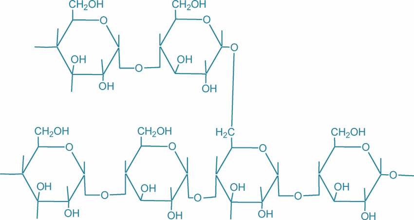
-Amylose is soluble in water and contains around 15−20% 15 of starch. We can say that it is a long unbranched chain with α−D+ glucose units whereas the starch content in Amylopectin is and is insoluble in water. The structures of both the components are as shown:

a. Amylose

b. Amylopectin
Starch industry extracts and refines the starch from seeds, roots and tubers by wet grinding, washing, sieving and drying. Today, the main commercial refined starches are cornstarch, tapioca, arrowroot, wheat, and rice and potato starches.
Note:
Glycogen is a polysaccharide of glucose that serves as a form of energy storage in fungi and animals. It is also known as animal starch and is composed of long polymer chains of glucose units bonded with alpha acetal linkage.
