Question
Question: Which question converts propene to propan 1-ol? A.\({{H}_{2}}O,{{H}_{2}}S{{O}_{4}}\) B.\({{B}_{2...
Which question converts propene to propan 1-ol?
A.H2O,H2SO4
B.B2H6,H2O2,OH
C.Hg(OAc)2,NaBH4,H2O
D.Aq.KOH
Solution
The reagent reacts with the alkenes to give trialkyl bromides. This is now oxidised in the presence of hydrogen peroxide to give us the necessary alcohol. An alkaline medium is used for this reaction.
Complete answer:
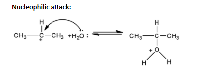
In order to answer our question, we need to know about the method of preparation of alcohol. Alcohols can be prepared from alkenes by acid reflux followed by hydrolysis. Alkenes react with water in the presence of catalysts. The additional reaction takes place in accordance with Markovnikov’s rule. In this process, the protonation of alkene takes place. The double bond of the alkene reduces and the oxygen of the water forms a positive charge. Now a stable carbocation is formed, where the carbon has a positive charge on it. Now, the free electrons of the oxygen of the water molecule attack the site of the positively charged carbon. A carbon-oxygen bond is formed, where oxygen has positive charge. Finally, it takes up electrons from another water molecule and forms the alcohol.
Protonation of alkene:



Alcohols can also be produced by hydroboration-oxidation method, where diborane reacts with alkenes to form trialkyl boranes, which is oxidised to alcohol by hydrogen peroxide in an alkaline medium, to give us alcohol. In our question, oxymercuration and demercuration method cannot be used as it converts alkene into alcohols in accordance with Markovnikov’s rule, however there is no rearrangement. Aldehydes and ketones are only reduced to give alcohols, not alkenes. The reducing agents are Pd/H2,LiAlH4,NaBH4. When propene is reacted with B2H6 along with hydrogen peroxide, then the anti-Markovnikov’s addition takes place and the alcohol group gets attached to the terminal carbon atom.
So, our correct answer is option B.

Note: It is to be noted that during protonation of alkene in the hydrolysis reaction, a less stable carbocation is also formed. However it is the minor product and in that case, some amount of primary alcohol is also formed. In the hydroboration-oxidation reaction, 3 moles of reagent are required.
