Question
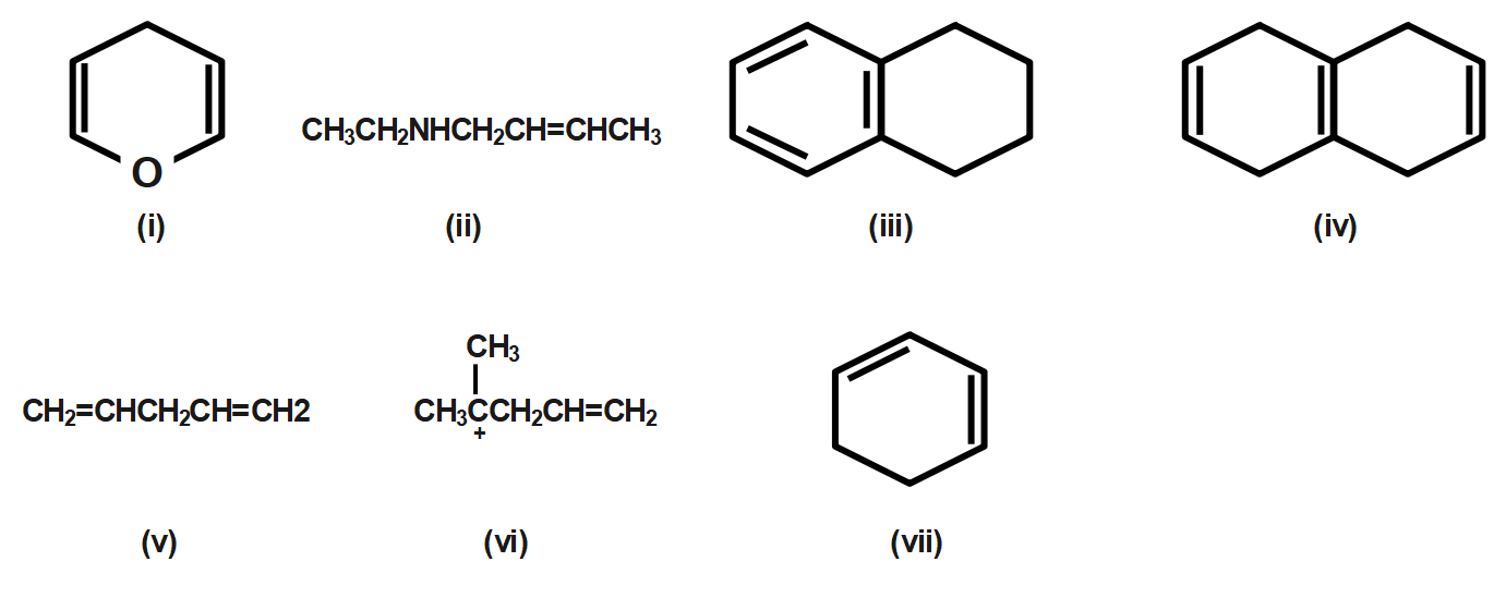
Question: Which of the set of compounds do not have a conjugated system? 
A. (ii), (iv), (v) and (vi)
B. (i), (ii), (v) and (vii)
C. (ii), (iii), (v) and (vi)
D. None of these.
Solution
Non aromatic or aromatic compounds can be checked by certain rules, if it follows then, aromatic and if not then, not aromatic. Aromaticity is a special property which is seen in organic compounds of ring-shaped, flat structures with a ring of conjugated systems that gives increased stability.
Complete step by step answer:
An aromatic compound contains a set of covalent bonds with specific characteristics
A delocalized conjugated system of electrons, which is an arrangement of alternating single and double bonds. It should be a coplanar structure having all the atoms in the same plane. It should follow Huckel’s rule, a number of delocalized electrons(4n+2), where n=0,1,2,3, and so on. Atoms should be arranged in one or more rings.
In a conjugated system, electrons are delocalized with the alternate single and double bond. Lone pairs can also be part of the system. Compounds (i),(iii) and (vii) have a conjugated system.
Therefore correct answer is option C that is three compounds which do not have a conjugated system are (ii),(iv),(v) and (vi)
So, the correct answer is Option C
Note: Note that the compound’s’ does not seem to be aromatic by its structure because the ring has 4 electrons, which does not satisfy Huckel’s rule. But on resonance, with other atoms, a resonating structure is formed which is aromatic. So, do not judge Aromaticity by just looking at the compound, it can be aromatic in one form or another.
