Question
Question: Which of the following products is formed when \(1,2,4 - {\text{trimethylcyclopentene}}\) is hydroge...
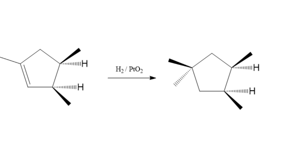
Which of the following products is formed when 1,2,4−trimethylcyclopentene is hydrogenated?

(A) I
(B) I and III
(C) II
(D) II and IV
Solution
Hydrogenation is a chemical reaction which occurs between hydrogen molecules and any other compound or element. Hydrogenation reaction takes place in the presence of catalysts such as palladium, nickel, platinum, etc. This reaction is an example of exothermic reaction.
Complete answer:
Hydrogenation is an additional reaction between H2 and other compounds usually in the presence of a catalyst. The pair of hydrogen atoms in the hydrogen molecule carry out this process. Hydrogenation is used in the food industry too. It improves flavour stability. Trimethylcyclopentene consists of three methyl groups, a double bond and has a cyclic structure. The hydrogenation reaction of 1,2,4−trimethylcyclopenteneis shown below:

In the above reaction, PtO2 acts as a catalyst. In hydrogenation reaction, two atoms of hydrogen molecule are added to double bond present and as a result saturated alkane is formed. The product is more stable. So, the reaction is thermodynamically favourable. Here, hydrogen is added to the opposite side of the methyl group to avoid steric hindrance.
Therefore, option A is correct.
Note:
PtO2 is platinum oxide which is also called Adams catalyst. It is dark brown in color and appears in powdered form. It is not soluble in water, but it is soluble in acid, alcohol, etc. When an alkyne undergoes hydrogenation reaction, a cis-alkene is formed. It should be noted that reduction of alkenes can be performed with Adams catalyst in the presence of nitro groups without reducing those nitro groups.
