Question
Question: Which of the following products cannot be obtained in ozonolysis of o-xylene? 
(A)- 
(B)- 
(C)- 
(D)- 
Solution
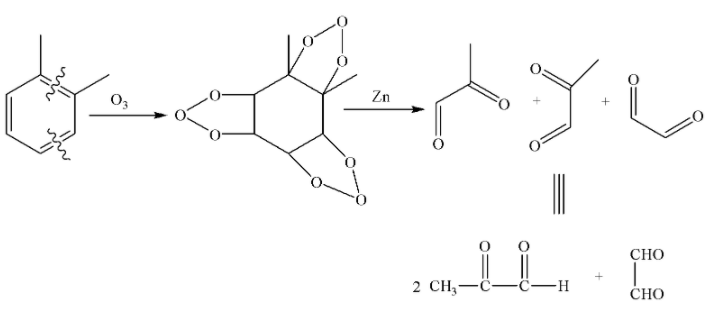
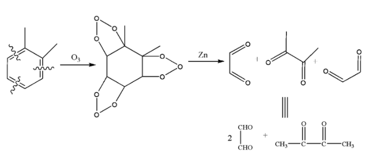
Ozonolysis involves the addition of ozone to alkene, alkyne and aromatic hydrocarbons to form alkene ozonide, alkyne ozonide and triozonide, respectively. Cleavage of ozonide by Zn-H2O gives carbonyl compounds, i.e. aldehydes and ketones.
Complete answer:
In the ozonolysis reaction of o-xylene, o-xylene forms xylene triozonide with ozone (O3) which upon decomposition with Zn-H2O gives the following products:


So, we can see that the products formed by the ozonolysis of o-xylene are

Now let us examine all the given options and find out the compound which is not formed during ozonolysis of xylene.

Glyoxal is formed during the ozonolysis. So, it cannot be the correct option to the given question.

2-oxopropanal is also formed as one of the products in ozonolysis of o-xylene.

Ozonolysis of o-xylene also forms this diketone as one of the products. Thus, it is not the right option.

Since, 2,3-dioxobutanal is not formed in the ozonolysis of o-xylene, therefore, the correct option will be (D).
Additional information:
Ozonolysis reaction is useful in detecting the presence and position of double bonds in unsaturated compounds. Zinc in ozonolysis acts as a reducing agent. Ozonolysis of benzene forms glyoxal as the only product.
Note:
It is to be noted that benzene shows resonance. o-xylene is a derivative of benzene. The π-electrons in xylene are not fixed but are delocalized in the entire ring. So, carefully consider both the resonance structures of xylene and then deduce all the possible products that can be formed on ozonolysis.
