Question
Question: Which of the following molecules are polar as well as planar? A) \(BFCLBr\) B) \({B_3}{N_3}{H_6}...
Which of the following molecules are polar as well as planar?
A) BFCLBr
B) B3N3H6
C) ClF3
D) H2C=C=C=CF2
Solution
To determine the shape of molecules, we must be acquainted with the Lewis electron dot structure. Although this theory does not actually determine the shapes of molecules, it is a step applied prior to VSEPR theory which actually determines molecular geometry.
Complete step by step answer:
To determine the molecules that are polar as well as planar.
First of all molecular geometry is 3D arrangement of atoms or molecules around a central atom which is helpful in determining polarity. The Lewis dot structure helps us predict the bond pairs and the lone pairs. After that, we apply the valence-shell-electron-pair-repulsion (VSEPR) theory which states that electron pairs (both lone pair and bond pair) repel each other.
After the 3D representation of the molecule using VSEPR rules, if molecules have symmetry around the central atom, bond dipole cancels each other and molecule is nonpolar. And if the molecule is asymmetric, the dipole moment doesn’t cancel out. Thus, the molecules are polar.
We draw the 3D structure of the molecules given –
A) BFClBr

sp2 , Trigonal planar polar
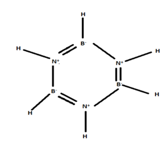
B) B3N6H6

Planar, Non-polar
C) ClF3

Planar, Polar
D) H2C=C=C=CF2

Planar, Polar
Option (A), (C), (D) are correct.
Note:
The general idea of the student that the compound in which the central atom has sp/sp2 hybridization is planar might not work in analyzing allenes (in option (D)). So, a general simple rule that students should follow is – The molecule will not be planar if there is an sp3 hybridized carbon or two sp2/sp hybridized atoms separated by odd number of double bonds while others are planar.
