Question
Question: Which of the following forms gives osazones different from the other three? (A) Fructose (B) Glu...
Which of the following forms gives osazones different from the other three?
(A) Fructose
(B) Glucose
(C) Galactose
(D) Mannose
Solution
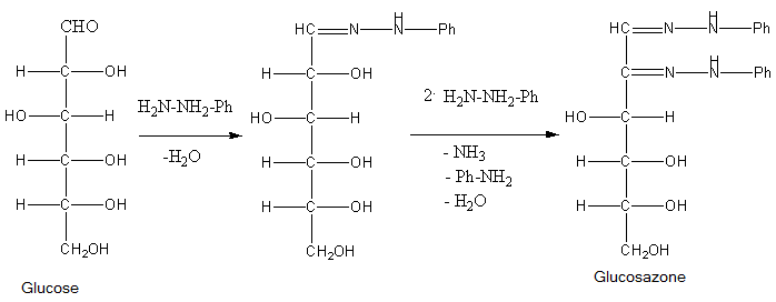
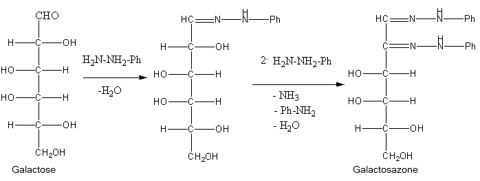
Osazone is the derivative of carbohydrate which is obtained by its reaction with phenylhydrazine in 1:3 ratio. Fructose is a ketohexose and has a keto group at C-2. Galactose and Mannose are epimers of Glucose.
Complete step by step solution:
Osazones are the derivatives of carbohydrates which are produced by their reaction with Phenylhydrazine. Total 3 moles of phenylhydrazine react with one mole of sugar to give one mole of phenylhydrazine. Let’s see the reactions of all of them to find which of the given sugar gives different osazones.




- Phenylhydrazine reacts with a carbonyl group of sugar to form phenylhydrazone and water. Then one molecule of phenylhydrazine reacts with phenylhydrazine and oxidises the α-carbon and then this oxidised carbonyl group further reacts with phenylhydrazine to give osazone.
So, from the structures of the osazones formed by glucose, galactose, fructose and mannose, we can say that osazones of glucose, mannose and fructose are same and osazone formed by Galactose is different at stereochemistry at 4th carbon.
- This occurs because 1st and 2nd carbon of all the sugars react with phenylhydrazine to give osazones but only galactose of them has different stereochemistry at 4th carbon atom.
So, the correct answer is (C) Galactose.
Note: Do not just blindly think that as only fructose is ketohexose from the given sugars, it will form different osazone, actually the mechanism of reaction is such that only the sugars that have different structure at C-4, C-5 and C-6 will give different osazone amongst hexoses.
