Question
Question: Which of the following compounds can be detected by Molisch’s test? (A) Nitro compounds (B) Suga...
Which of the following compounds can be detected by Molisch’s test?
(A) Nitro compounds
(B) Sugars
(C) Amines
(D) Primary alcohols
Solution
The presence of carbohydrates is determined by the Molisch’s test. Only one option is correct among the given options. So, consider the sugar as a priority as it is a carbohydrate.
Complete step by step solution:
Let us know about the Molisch’s test and how it is carried out before perfectly determining the compounds which can be detected by the same.
Molisch’s test- It is a very sensitive test chemically carried out for the presence of carbohydrates in the compound. It is based on the dehydration of the carbohydrates by the presence of hydrochloric acids or sulphuric acids in the reacting media. Carbohydrates reacting with acids result in the formation of aldehydes. This then gets condensed with two phenol molecules to give a resulting violet ring. Here, phenols can be alpha naphthol or resorcinol or thymol.
Procedure-
-The solution to be tested is added to the test tube with Molisch’s reagent i.e. phenol, and the mixture is mixed well for some time.
-Then, a small amount of acid is added carefully to the test tube to avoid mixing and thus support the formation of a separate layer of acid.
-There results in the formation of a red-violet ring if the test is positive, between the layers of acid and the mixture (Molisch’s reagent and test solution).
All carbohydrates give the positive test for the same. Thus, the sugar solution will give the positive test for the Molisch’s solution.
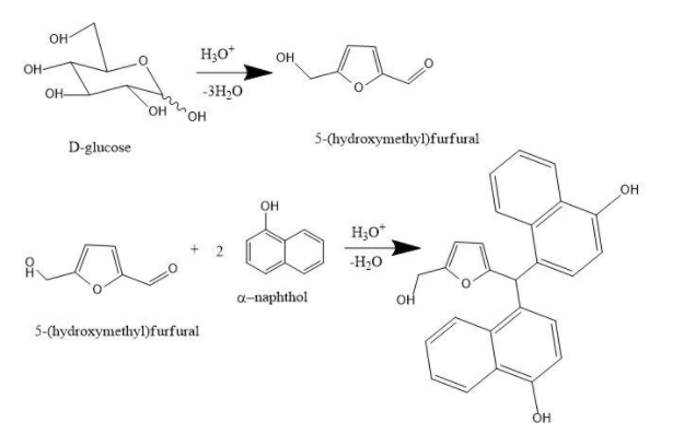
Reaction-


Therefore, option (B) is correct.
Note: Along with carbohydrates, nucleic acids and glycol-proteins also give Molisch’s test. But we do not have any option as such.
