Question
Question: Which of the following are polyamide polymers? A. Nylon-6,10 B. Nylon-6,6 C. Nylon-5 D. Perl...
Which of the following are polyamide polymers?
A. Nylon-6,10
B. Nylon-6,6
C. Nylon-5
D. Perlon-U
Solution
We know that polymer of polyamide is made up of monomer units in which amide group is present. Amide group is the CO−NH2and the polyamide contains the CO−NH linkage. Check all options whether there is amide group present or not.
Complete step by step solution:
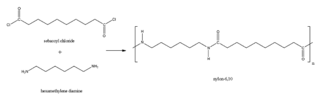
The Nylon-6,10 is a polymer made up of the monomer units hexamethylenediamine and sebacoyl chloride. In this polymer, there is CO−NH (amide) linkage and therefore, it is a polyamide polymer.

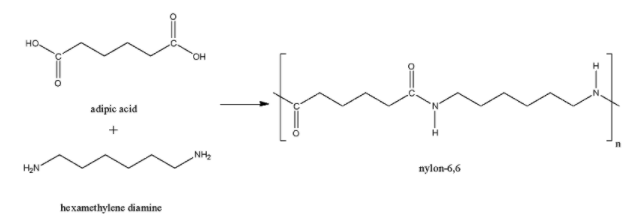
The Nylon-6,6 is a polymer made up of the monomer units hexamethylenediamine and adipic acid. Here also, the acid group and amine group joined together to form the amide linkage. So, Nylon-6,6 is also a polyamide polymer.

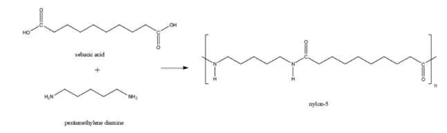
Nylon-5 is formed from the monomer units of pentamethylene diamine and sebacic acid. Here also, there is an amide linkage present. So, Nylon-5 is a polyamide polymer.

The perlon-U is also known as polyurethane also formed through the polyamide linkage after the combination of 1,4-butanediol and 1,6-hexamethylene diisocyanate. So, perlon-U is also a polyamide polymer.

Here, in each example, we can see that at least one CO−NH bond.
Therefore, Nylon-6,10, Nylon-6,6, Nylon-5 and Perlon-U are polyamide polymers. So, the correct option is (a), (b), (c) and (d).
Note:
The name Nylon-6,10 suggests that one monomer unit of Nylon contains 6 carbons and the other monomer units contains 10 carbons. Similarly, Nylon-6,6 contains monomer units hexamethylenediamine and adipic acids, both having 6 carbon atoms.
