Question
Question: Which is the correct structural formula for terylene? A. 
B. 
C. 
D. 
Solution
Polymer is made up of many repeating units of monomer, monomer is made up of two words called mono+mer where mono means single and mer means part whereas polymer defines poly+mer where poly means many and mer means part i.e. many parts so it refers as repeating unit of monomers.
Complete answer:
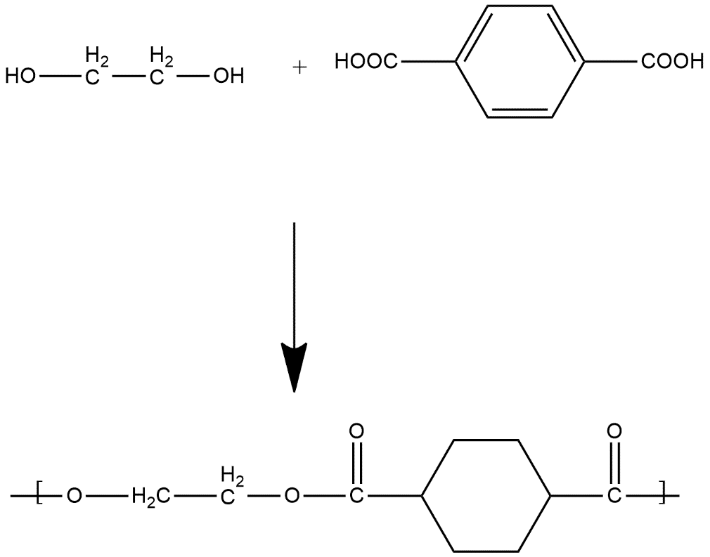
Terylene is generally a polymer. It is chemically known by the name polyethylene terephthalate which is abbreviated as PET and it is the most common thermoplastic polymer in the polyester family. It is mainly used as fibers in clothing, containers for liquids, food containers and also used in glass fiber for engineering resins. It is also known by the name Dacron. The main property of PET i.e. of terylene is it is recycled in nature. It may exist as amorphous and as a semi crystalline polymer. It consists of two monomeric metric units known by the name ethylene glycol and terephthalic acid. It is formed by the condensation reaction of these two monomers and the reaction between them can be shown as-

Hence from this we can say that option C is the correct answer.
Note:
In natural state trylene is colorless and crystalline resin. It is strong, light weight, tough in nature and also hygroscopic i.e. it can easily absorb water from its surroundings therefore it can also be used for making glass windows and used in opticals too.
