Question
Question: When the aromatic hydrocarbon naphthalene reacts with nitric and sulfuric acid, two compounds contai...
When the aromatic hydrocarbon naphthalene reacts with nitric and sulfuric acid, two compounds containing one nitro group are formed. What are the structures of these two compounds?
Solution
The reaction of aromatic hydrocarbon naphthalene with nitric and sulfuric acid is an electrophilic aromatic substitution. The electrophilic substitution reaction contains: nitration, halogenation and alkylation reaction.
Complete answer:
In electrophilic aromatic substitution, naphthalene reacts more readily than benzene. The two compounds formed by the nitration of naphthalene is an electrophilic aromatic substitution which gives two products namely: 1-nitronaphthalene and 2-nitronaphthalene.

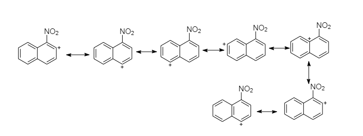
The nitronium ion, NO2+ is the active nitrating agent in nitric acid-sulfuric acid mixture. Substitution usually occurs more readily at the one position than at the two positions because the intermediate for 1− substitution is more stable than 2− substitution. The reason is that the most favorable resonance structures for either intermediate are those that have one fully aromatic ring.
Nitration at 1st−C produces a carbocation that has seven resonance structures, which preserve the atomicity of the second ring more favorably.

Nitration at 2nd−C produces a carbocation that has six resonance structures, but preserve the atomicity of the second ring less than the first.

So the attack at first position is more stable intermediate than the attack at the second position intermediate form.
So, the major product is 1-nitronaphthalene and the minor product will be 2-nitronaphthalene.
Note:
The chlorination and bromination of naphthalene proceeds without a catalyst to give 1-chloronaphthalene and 1-bromonaphthalene, respectively. Naphthalene can also be easily alkylated by reaction with alkenes or alcohols, using sulfuric acid or phosphoric acid.
