Question
Question: What will be the product (X) of the reaction?  of the reaction?


Solution
As we know that when an aromatic aldehyde reacts with an aliphatic carboxylic acid anhydride in the presence of salt of that carboxylic acid it results into aldol type condensation and results in the formation of an unsaturated acid. This is basically the Perkin’s condensation reaction.
Complete answer:
As we are well aware with the Perkin’s condensation reaction which involves a type of aldol condensation where an aromatic aldehyde reacts with an aliphatic carboxylic acid anhydride and forms an α, β-unsaturated acid in the presence of sodium or potassium salt of the carboxylic acid. The alkali salt of carboxylic acid acts a base catalyst in this reaction.
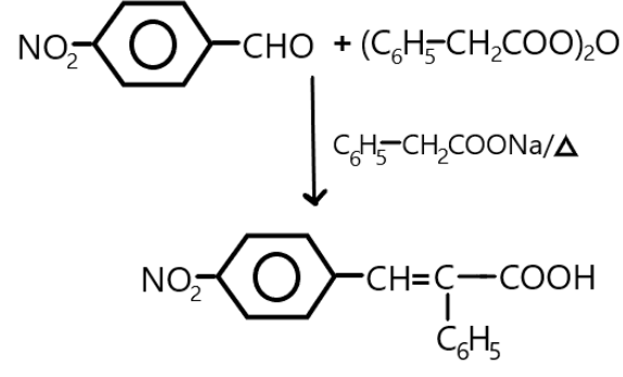
In the given reaction, when 4-Nitrobenzaldehyde will react with the phenylacetic acid anhydride in the presence of sodium salt of phenylacetic acid anhydride, it will be condensed and results in the formation of 4- nitro-1−ene- 2-phenyl acetic acid which is the fourth option here. We can show the whole reaction as:

Additional information: Nitrobenzaldehyde is a crystalline powder which has yellow to brown colour and is an odourless compound. It is soluble in water, ethanol and benzene but is air sensitive. It is also an irritant. Perkin’s reaction was first used to produce cinnamic acids.
Note: Sodium salts of carboxylic acids are preferred over potassium salts because under normal conditions sodium salts give a good amount of yield of products whereas potassium under the same conditions produces less product.
