Question
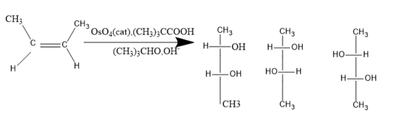
Question: What is the product of the following reaction? 
(A) Only 1
(B) 1:1 mixture of 2 and 3
(C) Only 2
(D) 1:1:1 mixture of 1,2, and 3
Solution
Alkenes are unsaturated hydrocarbons containing double bonds. Due to the presence of double bond alkenes undergo additional reactions, the reagent or molecules can be added on the double bond of alkenes to form new compounds. Alkenes treated with osmium tetroxide and acetic acid derivatives form syn diols.
Complete answer:
Alkenes consist of double bonds, the general molecular formula of alkenes is CnH2n , where n is the number of carbon atoms. Due to the presence of a double bond, the carbon in alkenes has sp2 hybridisation. Alkenes participate in additional reactions due to the presence of double bonds.
Osmium tetroxide with the combination of hydrogen peroxide or tri methyl acetic acid used as a material for the synthesis of 1,2 diols from alkenes.
Given molecules is 2−butene when treated with osmium tetroxide and tri methyl acetic acid, the syn addition of hydroxyl groups takes place. Thus, the diols formed will be syn-diols.
In the given reaction, only one product is syn diol. The syn diol has two hydroxyl groups on the same side of the carbon-carbon bond.
Thus, only 1 is the product. Option a is the correct one.
Note:
When Osmium tetroxide is used with the combination of reagents other than trimethyl acetic acid anti addition may take place, and in some cases both the syn and anti-addition takes place. In that case, a racemic mixture will be formed. But, here only syn diols will be formed.
