Question
Question: What is the product in the following reaction? 
(A) 
(B) 
(C) 
(D) 
Solution
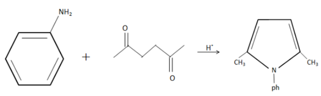
One of the given compounds contains a primary amine and the other contains two ketone groups. This primary amine group can easily react with one of the oxygen atoms in the ketone group and eliminate one water molecule. Further check whether the formed intermediate is stable and any requirement of rearrangement.
Complete answer: We have an −NH2 group in aniline and two ketone groups in 2,5−diketone .
The −NH2 group can actively react with one of the ketone groups to eliminate water and form a primary imine as an intermediate. An imine is a −C=N−R , here R is our phenyl group.
We can rearrange this intermediate to eliminate the other oxygen and form a cyclic ring containing N−ph group. This results in the formation of a pyrrole. From this, we can understand that this is a condensation reaction.
The condensation of aniline with 2,5−hexanedione to form 2,5−dimethyl−1−phenylpyrrole is an example of Paal-Knorr synthesis.
We can write an equation for this reaction as follows:

Additional information: Paal-Knorr Pyrrole Synthesis is the condensation of a 1,4-dicarbonyl compound with an excess amount of a primary amine or ammonia to produce a pyrrole. This reaction generates furans, pyrroles and thiophenes.
Therefore the product formed in our given reaction is 2,5−dimethyl−1−phenylpyrrole i.e, option D.
Note: The given reaction is an example for Paal-Knorr synthesis. In this reaction, we are using a primary aniline group to react with a diketone to form a pyrrole. This reaction occurs in an acidic medium and the product formed in this reaction is 2,5−dimethyl−1−phenylpyrrole .
