Question
Question: What is the IUPAC name of Phloroglucinol? A) \[Benzene - 1,3,5 - triol\] B) \(1,3,5 - trimethyl...
What is the IUPAC name of Phloroglucinol?
A) Benzene−1,3,5−triol
B) 1,3,5−trimethyl benzene
C) 2−bromo−4−chloro−nitrobenzene
D) 4−chloro−1,3−dimethylbenzene
Solution
The molecular formula for Phloroglucinol can be given as C6H6O3 and it is a benzenetriol with hydroxyl groups attached to the 1,3,5 positions of Benzene. Now, use the IUPAC nomenclature rules to find the IUPAC name of Phloroglucinol.
Complete step-by-step answer: The molecular formula of Phloroglucinol is C6H6O3
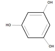
We can draw its structure as follows:

From the above picture, it is clear to us that the hydroxyl groups are present at 1,3,5 positions.
The functional group present in this compound is Alcohol so the suffix would be ‘ol’ but there are three hydroxyl groups present so the suffix becomes ‘triol’.
Additional information: The organic compound Phloroglucinol is a colorless solid and is synthesized from Benzene trinitrate which is an explosive. It is termed as Polyphenol due to the presence of multiple hydroxyl groups attached to Benzene. It is also a weak triprotic acid.
Therefore, the IUPAC name of Phloroglucinol is Benzene−1,3,5−triol i.e. option A.
Note: The given compound Phloroglucinol is an aromatic compound with the molecular formula C6H6O3 . The IUPAC name for this compound is acquired by the IUPAC nomenclature rules. This compound consists of a benzene ring and three alcohol groups attached at 1,3,5 positions.
