Question
Question: What is the hybridization state of boron atoms in the compound \( Mg\left[ {{B_2}O{{\left( {OH} \rig...
What is the hybridization state of boron atoms in the compound Mg[B2O(OH)6] .
1. Both sp3
2. One sp2 and other sp3
3. Both sp2
4. One sp3 and other sp3d
Solution
There are two boron atoms present in the given compound. Therefore we will find hybridization of each boron atom. Hybridization is only valid for covalent compounds. So we will remove the ionic part first and then find hybridization of boron atoms.
Complete answer:
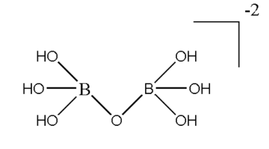
The given compound is a mixture of both ionic bonds and covalent bonds. Magnesium being a metal has two valence electrons in the outermost shell. Therefore it makes an ionic bond with the entity enclosed within the bracket. According to Molecular orbital theory, the orbitals overlap with other orbitals to form a hybrid orbital. Therefore, hybridization is only meant for compounds which are covalent in nature. Therefore we will first remove the ionic part from the given compound. Hence it can be represented as [B2O(OH)6]−2 . Now this is purely covalent in nature. The hybridization of the compound can be depicted easily by looking at its structure. Hence the structure of the compound can be drawn as:

This is the structure of the given compound containing all covalent bonds formed by each boron atom. Here we can see that each boron atom forms three sigma bonds with OH and one sigma bond with O atom. Thus in total each boron atom makes four sigma bonds in the given structure. This means four orbitals are overlapping with orbitals of other atoms. Hence we can say that both boron are sp3 hybridized.
Note:
The hybridization of complex compounds is easy to depict by using the structure of that compound. Whenever there is any ionic part in the compound, firstly remove the ionic part because ionic bonds do not take part in hybridization of atoms.
