Question
Question: What is the formula of a compound in which the element Y forms ccp lattice and atoms of X occupy \({...
What is the formula of a compound in which the element Y forms ccp lattice and atoms of X occupy 1/3rd of tetrahedral voids?
Solution
Hint : To answer this question we should know that the number of elements forming a ccp lattice is 4 and the total number of tetrahedral voids is twice the number of the element forming the ccp lattice, that is 2 X 4 = 8.
Complete step by step solution :
Let’s look at the solution of the given problem:
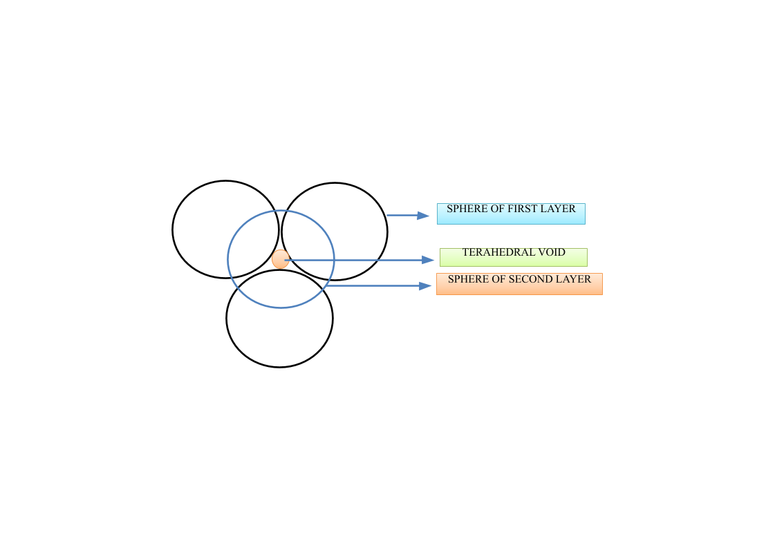
A tetrahedral void is formed when four atoms are in contact with each-other. This happens when a sphere of a second layer is placed just above the void of the first layer. These are known as tetrahedral voids because the shape of the void formed resembles a tetrahedron.
Let’s look at the shape of the tetrahedral void.

Since, Y forms the ccp lattice in the compound, so, the number of Y atoms per unit cell will bw:
Y= 4 atoms per unit cell
Now, we will calculate the number of tetrahedral voids in the lattice.
Number of tetrahedral voids is twice the number of Y atoms
Therefore, number of tetrahedral voids =2×4=8
Now, we will calculate the number of X atoms per unit cell
Now, it is given in the question that atoms of X occupy 1/3rd of the tetrahedral voids
So, number of X atoms =31×8=38
X= 38 atoms per unit cell
So, the formula of the compound will be X38Y4
Now, we will convert it into the simplest whole number ratio to get the formula of the compound.
⇒38=4⇒32=1⇒32×3=1×3⇒2=3=2:3
Therefore, the formula of the given compound will become X2Y3
Hence, the answer of the given question is X2Y3.
Note : This question is dependent on the type of lattice. So students must remember the number of atoms per unit cell for the different types of lattices like fcc, bcc, etc. For fcc it is 4 atoms per unit cell and for bcc it is 2 atoms per unit cell.
