Question
Question: What is the coordination number of Ni in the nickel-DMG complex? A.\[2\] B.\(3\) C.\(6\) ...
What is the coordination number of Ni in the nickel-DMG complex?
A.2
B.3
C.6
D.4
Solution
The directly bonded atoms, molecules or ions to the central metal atom of a complex are known as co – ordination compounds. The total number of co – ordination compounds is known as co – ordination number.
Complete step by step answer:
The number of atoms, ions or molecules directly bonded with the central metal atom in a complex is known as its co – ordination number. The steps involved to find the co - ordination number are as follows:
First of all we have to identify the central metal atom in the chemical structure or chemical formula.
Now count the total number of ions, atoms or molecules directly bonded with the central metal atom.
So in this way we can find out the co – ordination number.
DMG, also known as dimethylglyoxime is a chemical compound which is mostly used as ligands in the co – ordination compounds. The chemical formula for dimethylglyoxime is CH3C(NOH)C(NOH)CH3 .
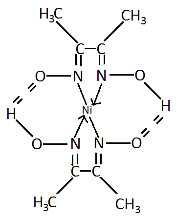
The chemical structure of nickel – DMG is as follows:

Here in this structure we can see that the central nickel atom is directly attached with the four atoms. And all these four atoms are nitrogen, and we discussed above that the atoms, ions or molecules directly attached to the central atom are included in co – ordination number, therefore the co – ordination number of nickel atom in nickel dimethylglyoxime is four.
Hence option (D) is correct, 4.
Note: The ions or molecules which are neutral and attached to the central metal atom or ion of a complex are known as ligands. The ligands act as lewis base or electron pair donors and the central atom acts as lewis acid or electron pair acceptor.
