Question
Question: What is resonance Effect?...
What is resonance Effect?
Solution
Movement of pi-electrons in structures and transfer of electrons from multiple bonds or lone pair of atom to adjacent atom or single covalent bond called as resonance effect
Complete step by step answer:
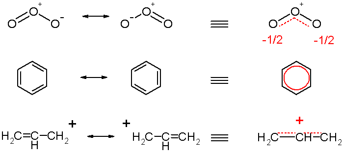
When some structure of a molecule is not able to define all the observed properties of a molecule, then that means there are multiple structures for the same molecule and when all these multiple structures are combined in one intermediate structure, then that is called a Resonance Hybrid. And those structures are called resonating structures.
The 2 most famous examples are shown below.

The first structure is of Ozone (O3) and second is of Benzene (C6H6)
Resonance effect is also called the Mesomeric effect.
The pi-electrons are delocalized by the substituent or functional group attached near the pi-electrons.
This question can be answered depending on structure, that there are interactions of pi-electrons, in the form of lone pairs and empty orbitals, or multiple bonds interaction.
Resonance effect or mesomeric effect is represented by R or M. These are further classified as
1. Those substituents which can withdraw electrons from structure, by delocalization of pi-electrons. They are called as Negative resonance or Negative mesomeric effect (-R or -M).
Some common examples are: −NO2,−COOH,−CN−
2. Those substituents which can release electrons to structure, by delocalization of pi-electrons. They are called as Positive resonance or Positive mesomeric effect (+R or +M).
Some common examples are: −NH2,−OH,−SH
Additional information: The organic chemistry takes a different shape when hetero atoms come along with Carbon and Hydrogen. The electron partial flow or complete flow happens and thus give rise to many different phenomena like Inductive effect, Electromeric effect, Hyperconjugation and Resonance effect (also called mesomeric effect).
Note:
The two types of Resonance effect have to be taken care of, which one will be applicable.
Depending on the type of atom or group of atoms attached, the effect will be electron releasing group or electron withdrawing group. We can possibly make mistakes while charge transfer, or pi bond transfer and we should also know that the charge or bond is identical with respect to all the atoms or places where it is appearing.
