Question
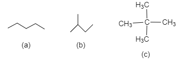
Question: What is decreasing order of boiling point- 
A) a>b>c
B) b>c>a
C) a>c>b
D) c>b>a
Solution
Boiling point of a substance is the temperature at which the vapour pressure of liquid is equal to the atmospheric pressure. Boiling point of an organic compound can give information about the other physical properties and structural characteristics.
Complete answer:
Boiling point of a compound tells about its volatility. The higher the boiling point, the less volatile is the compound and lower the boiling point, the more volatile is the compound.
The length of the carbon-carbon chain affects the boiling point of the compound. As the length of the carbon chain increases, the boiling point also increases. This is because the intermolecular forces between the molecules increases as the molecule gets longer. As a result, more energy will be required to overcome this force of attraction and hence the boiling point increases.
Branching in the compound decreases the boiling point. This is because the Vander Waals dispersion force is directly proportional to the surface area. Branching in the molecule will decrease the surface area as a result of which attractive forces between individual molecules decrease and hence the boiling point decreases.
Now coming to our question-
It can be seen that in (c) 2,2-dimethylpropane there are two branched methyl groups and in (b)2-methylbutane there is one branched methyl group while in (a) n-pentane there is a straight chain of five carbons. As we have seen, more branching leads to lower intermolecular forces between the molecules and hence lower boiling point.
Thus, the decreasing order of boiling point is;
a>b>c
So, the correct answer is “Option A”.
Note:
We have seen that boiling point depends upon the length of the carbon chain and branching. It also depends upon the polarity of the molecule. It was found that greater the polarity, higher is the boiling point.
