Question
Question: What happens when salicylic acid is treated with \({(C{H_2}CO)_2}O/{H^ + }\) ? Write chemical equ...
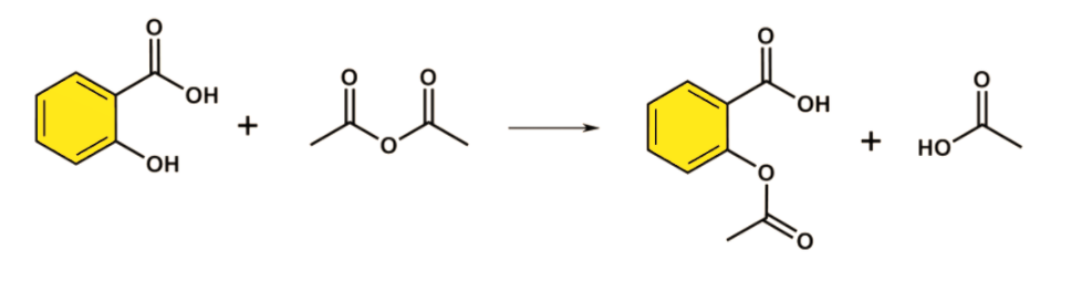
What happens when salicylic acid is treated with (CH2CO)2O/H+ ?
Write chemical equations in support of your answer.
Solution
The concept of reaction of carboxylic acids will be used here in this chemical reaction. This reaction involves cleavage of O−H bond when the salicylic acid is treated with (CH2CO)2O/H+.
Complete answer:
This is an acetylation reaction given in the question.
Acetylation reactions are those reactions in which acetyl groups get inserted in a compound. Here, acetyl group replaces a hydrogen atom. Acetyl group is H3C−COgroup.
When salicylic acid is treated with (CH2CO)2O in presence of acid or H+ , it produces acetylsalicylic acid or aspirin.
Acetic acid is also produced as the by-product in the reaction. Salicylic acid reacts better with acetic acid than compared to when it reacts with acetic acid.
Chemical equation

This is an irreversible reaction. This produces an adequate amount of Aspirin. Aspirin is a drug used to treat several problems.
Here, acetic anhydride is used because reaction with acetic anhydride is not reversible, so the reaction can proceed in forward reaction only. Otherwise, it might get difficult to proceed the reaction after it attains equilibrium. The reaction can be done with acetic acid instead of acetic anhydride but the reaction is reversible when it is done with acetic acid. Then the reaction will go in reverse. This is known as hydrolysis of ester. This happens due to production of water. That’s why the yield becomes less. That’s why the reaction with acetic anhydride is necessary for industrial use.
Note:
It is important to use acetic anhydride for better yield. It also helps to proceed the reaction in a forward direction. Also remember that when an acetyl group replaces a hydrogen atom in the reaction then it is known as the Acetylation reaction.
