Question
Question: What are the products formed when phenol and nitrobenzene are treated separately with a mixture of c...
What are the products formed when phenol and nitrobenzene are treated separately with a mixture of concentrated sulfuric acid and concentrated nitric acid?
Solution
Hint: To answer this question you must know how benzene and nitrobenzene differ in reaction with a mixture of concentrated sulfuric acid and concentrated nitric acid. In these reactions, ring activation and deactivation plays an important role. Now you have to think about the formation of products.
Complete step by step answer:
When the mixture of concentrated sulphuric acid and concentrated nitric acid reacts together generates the nitronium ion, which acts as an electrophile in electrophilic aromatic substitution reaction.
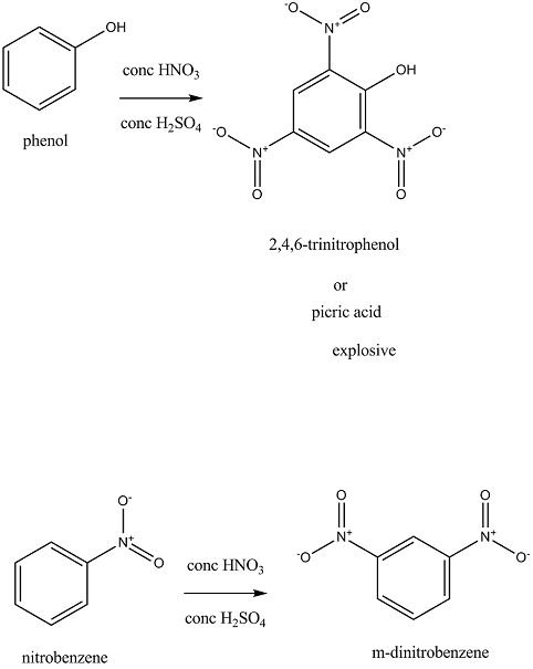
When phenol is treated separately with a mixture of concentrated sulphuric acid and concentrated nitric acid, 2,4,6-trinitrophenol ( also known as picric acid) is obtained. Hydroxyl group is an activating group here and so it is ortho, para directing. In this reaction conditions are so favorable that the nitro group is attached to all ortho and para positions.

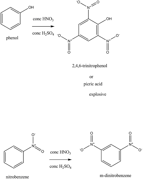
When nitrobenzene is treated separately with a mixture of concentrated sulphuric acid and concentrated nitric acid, m-dinitrobenzene acid is obtained. Nitro group is a deactivating group present here and so it is meta directing.

Therefore, we can conclude that picric acid and m-dinitrobenzene are the products formed when phenol and nitrobenzene are treated separately with a mixture of concentrated sulfuric acid and concentrated nitric acid.
Note: You should also know that the largest use of Picric acid has been in munitions and explosives. Explosive D, also known as Dunnite, is the ammonium salt of picric acid—more powerful but less stable than the more common explosive TNT.
