Question
Question: What are the molecular formula, the structural formula, the condensed structural formula, and the ab...
What are the molecular formula, the structural formula, the condensed structural formula, and the abbreviated line formula for pentane?
Solution
In order to solve the question, we first need to look at the name of the compound then we will come to know from the suffix and prefix that exactly what the compound is. Pentane is an organic compound with 5 carbon atoms attached with single bonds.
Complete step-by-step answer: Pentane is a 5 carbon organic compound and since the suffix is ‘– ane’ we can say that there are only single bonds, i.e., it is a saturated molecule. There are no double or triple bonds.
The molecular formula of pentane is
C5H12
The structural formula of pentane is

The chemical formula in which there is no presence of sigma or pi bonds is called condensed formula. The condensed structural formula of pentane is
CH3(CH2)3CH3
There are two isomers for pentane-
Isopentane or 2-methylbutane – In this type of arrangement, 4 carbon atoms are arranged in a straight chain and the fifth carbon atom is attached to the second carbon of the straight chain to form a branch.

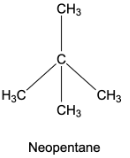
Neopentane or 2,2-dimethylpropane – Here, 3 carbon atoms are arranged one after the other to form a straight chain, while the other 2 carbon atoms are attached to the middle carbon atom of the straight chain to form 2 branches.

Note: The condensed formula gives the idea about the number of carbons, number of hydrogens, number of oxygen atoms, and the number of nitrogen atoms present in the compound very easily. By using bond line formulas, we can easily present the structures of the organic compounds very easily.
