Question
Question: Total number of enol possible for the compound formed during given reaction will be (including stere...
Total number of enol possible for the compound formed during given reaction will be (including stereoisomer)

(A) 2
(B) 3
(C) 4
(D) 5
Solution
The given reagent is called as Grignard reagent, and the product which will be formed at the end of the reaction is an alcohol if two moles of Grignard reagent with the given carbonyl chloride reactant.
Complete step by step solution:
-
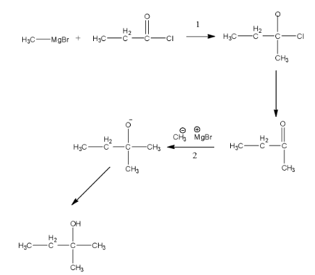
The complete reaction between the given chemicals is as follows.

-
In the first step, labeled as 1 in the above reaction, there is a formation of one enol form.
After the first step again one mole of Grignard reagent reacts with the formed carbonyl and forms another enol in the second step. -
Means there are two enols formed during the reaction.
-
Coming to the given options, option B, 3. It is wrong because three enols are not getting formed during the reaction.
-
Coming to option C, 4. It is wrong because four enols are not getting formed during the reaction.
-
Coming to option D, 5. It is wrong because five enols are not getting formed during the reaction.
-
Coming to option A, 2. It is correct because only two enols are getting formed during the reaction.
So, the correct option is A.
Note: Don’t be confused between alcohol and enol. Both are not the same.
Alcohol is a functional group represented as –OH.
Enol is a form shown by some ketones, it is called keto-enol tautomerism.
