Question
Question: Total number of alkene obtained in reaction? 
(a) 2
(b) 4
(c) 1
(d) 3
Solution
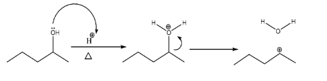
The reaction is acid-catalyzed dehydration of alcohols. In acidic medium, alcohol forms carbocation. Then, we have to check for stable carbocation formation and since no nucleophile is provided, we will proceed with the elimination reaction and form the maximum number of products.
Complete step by step answer:
As we know, elimination reactions produce unsaturated compounds. Alcohols undergo elimination to produce an alkene and alkyl halides undergo eliminations as well. An acid-catalyzed elimination is a second order reaction (E1), where carbocation is the intermediate and the rate of reaction is dependent on how quickly the carbocation can be formed. As soon as the carbocation is formed, the rest of the elimination reaction occurs very quickly (in case a nucleophile is not available).
We will perform this reaction in various steps as follows:-
-Formation of carbocation (an intermediate):-

As we can see that the lone pairs of O atom attack the H+ ion and formH2O+. Since oxygen is an electronegative atom it would not bear positive charge on itself and would attract shared pair of electrons of bond with the carbon atom hence resulting in the formation of carbocation along with water molecules.
-Stability of carbocation:-
Before moving forward, it is always necessary to check the stability of the intermediate formed during the reaction. Since we know the order of stability of carbocation is: tertiary cation > secondary cation > primary cation. And in the given structure, there can be only 2 possibilities that are secondary and primary cation. Therefore, we prefer to choose a secondary as it also has the maximum number of hyperconjugative αH atoms .
-Elimination and formation of products:-
A.
B.
-Now, th H2O molecule will take one of the H- atoms present adjacent to the carbocation and the shared pair of electrons between C and H turns into double bonds. In case of (A), 2 products are possible due to cis and trans – isomers. Whereas in case of (B), no such thing is possible hence contributing for only 1 product. Therefore, total number of alkenes produced =3
Therefore the correct option is (d) 3 alkenes.
Note: -Intermediates play an important role in reactions and hence their stability must be checked and if they are not stable enough, then make them stable before the formation of the product.
-Sometimes we may require to expand or compress the ring system in the case of carbocation so as to reduce the strain and be more stable.
