Question
Question: Three blocks with masses \(m,2m\)and \(3m\)are connected by strings as shown in the figure. After an...
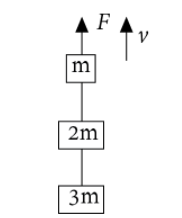
Three blocks with masses m,2mand 3mare connected by strings as shown in the figure. After an upward force F is applied on block m , the masses move upward at constant speed v . What is the net force on the block of mass 2m .

(a)Zero(b)2mg(c)3mg(d)6mg
Solution
We will use Newton’s Second Law of Motion which states that, the rate of change of momentum is directly proportional to the applied force. This theorem is applied here because we can see there is a force acting on the system but the system has a constant velocity, so finding the rate of change of momentum will help build our solution.
Complete answer:
We have to calculate the net force on the block of mass 2m , that is the block in the middle of the diagram.
Given that, after applying an upward force (F) , all the masses move upwards with a constant velocity , that is, the whole system is moving upwards with a constant velocity.
This implies that the block of mass 2m is also moving upwards with a constant velocity.
Therefore, the net change in momentum of the block with respect to time is Zero .
Hence, the net force applied on the block is also Zero.
Hence, option (a) is the correct option.
Note:
Sometimes the data given in the question may not be of any use in the solution. So, we should first very carefully analyze the problem, as there may not be any need for unnecessary calculations which will further take more time to solve. Also, these questions are basic applications of some very common laws of Physics, so one should try to solve them quickly and correctly to save more time and get more marks.
