Question
Question: The vector \(\overrightarrow {OA} \), where \(O\) is the origin is given by \(\overrightarrow {OA} =...
The vector OA, where O is the origin is given by OA=2i+2j. Now it is rotated by 45∘ anticlockwise about O. What will be the new vector?
1.22j
2.2j
3.2i
4.22i
Solution
We will first find the angle that OA makes with the x− axis. Then we will rotate OA anticlockwise about the origin and find the new angle. Finally, we will find the x and y components of the new vector and represent it in the form of a vector.
Formula used:
If O is the origin and A is any point such that the vector OA=xi+yj, then OA=x2+y2.
If θ is the angle that OA makes with the x− axis, then tanθ=xy.
Complete step-by-step answer:
It is given that OA=2i+2j, where i and j are unit vectors along x and y respectively.

Here, x− component of OA is 2 and y− component of OA is 2.
Let θ be the angle that OA makes with the x− axis. Then,
\tan \theta = \dfrac{y}{x} \\\
\Rightarrow \tan \theta = \dfrac{2}{2} = 1 \\\
We know that tan45∘=1, so substituting this in above equation, we get
⇒tanθ=tan45∘
⇒θ=45∘
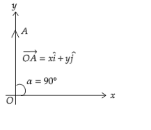
Now, let us rotate OA anticlockwise about the origin by 45∘. Let α be the angle that the new vector makes with the x−axis.
We observe that
α=θ+45∘
Substituting θ=45∘ in the above equation, we get
\Rightarrow \alpha = 45^\circ + 45^\circ \\\
\Rightarrow \alpha = 90^\circ \\\
Let us now find the components of the new vector.
Substituting x=y=2 in the formula OA=x2+y2, we get
OA=22+22
Applying the exponent on the terms, we get
⇒OA=8=22
The x−component of OA=OAcosαi
Substituting OA=22 in the above equation, we get
OA=22cos90∘i
Now substituting cos90∘=0 in the above equation, we get
⇒OA=0i
The y−component of OA =OAsinα j
Substituting OA=22 in the above equation, we get
OA=22sin90∘j
Now substituting sin90∘=1 in the above equation, we get
⇒OA=22j
Hence, the new vector OA=0i+22j=22j.
Thus, option (1) is the correct option .

Note: If a vector OA makes an angle θ with the x−axis, then the x and y components of OA are given as OAcosθ and OAsinθ with unit vectors i and j respectively. We have selected the position of OA in the first quadrant since both x and y components are positive. We can also approach the above problem as follows: After rotating the vector by 45∘, the new vector lies on the y−axis. In this case, the x−component of the new vector will be zero, which is what we obtained.
