Question
Question: The reaction of \({{C}_{6}}{{H}_{5}}CH=CHC{{H}_{3}}\) with \(HBr\) produces? A. \({{C}_{6}}{{H}_{5...
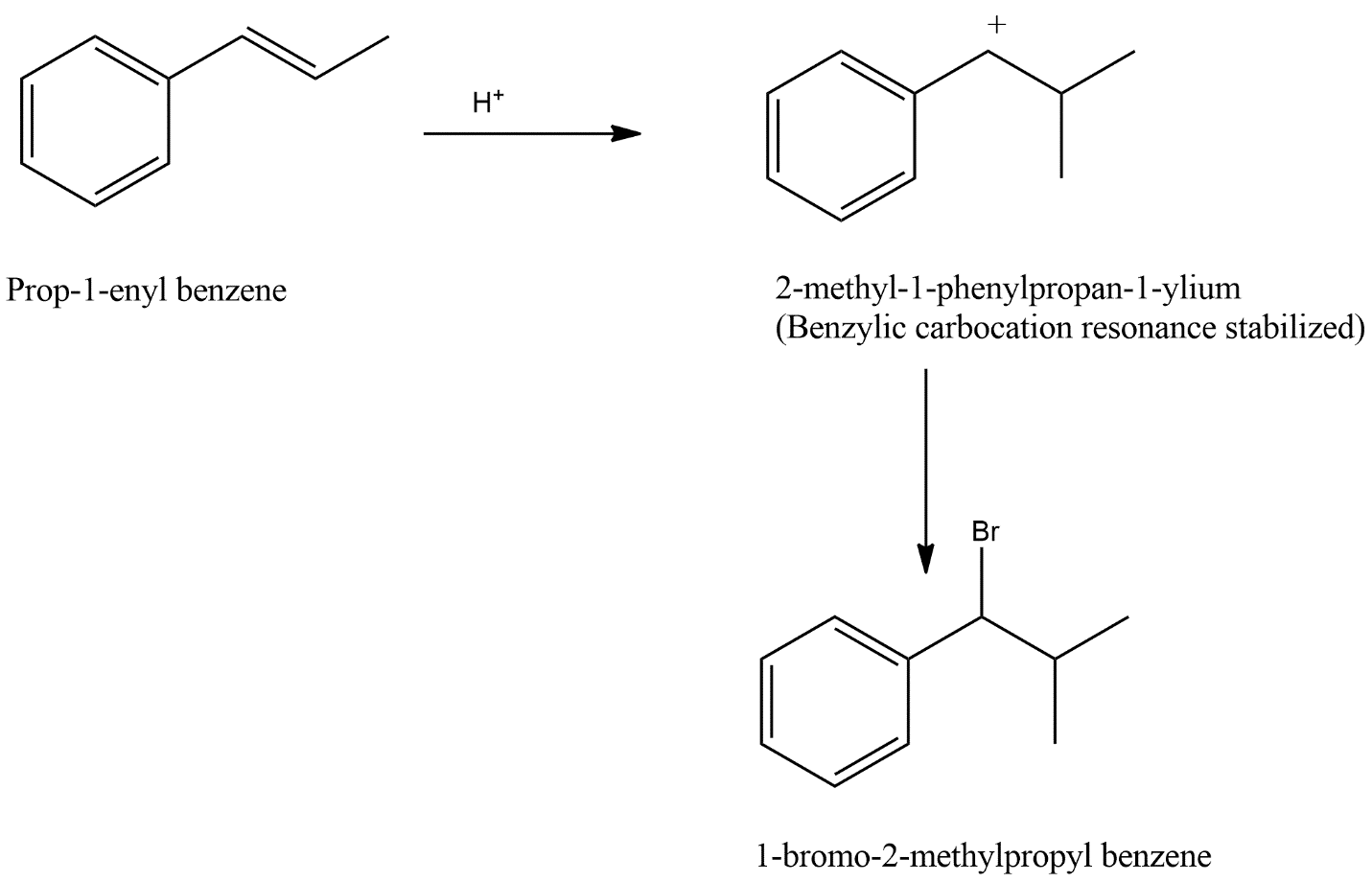
The reaction of C6H5CH=CHCH3 with HBr produces?
A. C6H5CH2CH2CH2Br
B. 
C. 
D. 
Solution
Chemical reactions are those reactions in which reactants get converted into product under some conditions like at fixed temperature and pressure and some reactions proceed with the help of catalysts which increase their rate of reaction.
Complete answer:
The reaction of C6H5CH=CHCH3 with HBr can be defined on the basis of property called resonance where resonance describes the delocalized electrons within the certain molecules where one single lewis structure does not express the bonds. An ion or molecule with these delocalized electrons can be represented by a number of structures which are called resonance structures.
Resonance or Mesomerism describes the delocalized electrons within the certain molecules where one single lewis structure does not express the bonds. An ion or molecule with these delocalized electrons can be represented by a number of structures which are called resonance structures.
The reaction C6H5CH=CHCH3 with HBr produces product given in option C. This can be shown as follows:

Hence before forming the main product an intermediate product is formed which is resonance stabilized and have carbocation like character where carbocation are those substances which have in which a carbon atom has a positive charge also we can consider that carbocation is made up of two words carbo and cation where carbon is for carbon and cation is positively charged ions.
Hence from the above reaction we can say that option C is the correct answer.
Note:
Stability of the carbocation is generally dependent upon the resonance, inductive or hyperconjugation effect and electronegativity value of the compound which can be explained as stability of the carbocation increases with the increase in number of resonating structures.
