Question
Question: The product \(X\) and \(Y\) in the following reaction sequences are: 
A.

B.

C.

D.

Solution
In organic reactions the work of Sn/HCl , tin in hydrochloric acid is to reduce all the functional groups present in it and NaNO2/HCl is a reagent responsible for diazotization reaction means adding the two moles of a compound through the −N=N− bond.
Complete step by step answer:
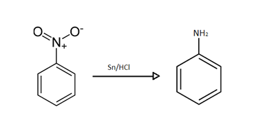
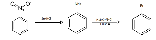
As we can see that Sn/HCl is added to Nitrobenzene in the starting of a sequential reaction.
The work of Sn/HCl in this reaction is to simply reduce it to its lowest form.
So, Sn/HCl will reduce nitrobenzene to aniline and our obtained product X will be aniline.
We can also understand this diagrammatically as following:

Further we can see that NaNO2/HCl and CuBr are introduced with heat.
So our aniline which is produced in the previous step will react with these reagents.
Firstly diazotization reaction will occur due to the presence of NaNO2/HCl reagent and further when it reacts with CuBr and it gives bromobenzene as a product.
We can also understand this diagrammatically as following:

Hence the overall occurrence of sequential reaction is:

And our products are:

So option (B) is correct.
Note:
The basic method to solve the sequential reactions is that we should picturise the reactions in our mind and start solving them one by one. Every product of the reaction is reactant of some other reaction so if we find any one product wrong the whole sequence will damage.
