Question
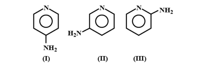
Question: The order of basic strength of the given compounds is: 
A. I > III > II
B. III > II > I
C. I > II > III
D. III > I > II
Solution
Hint: The lone pair on the nitrogen atom of −NH2 group is in resonance with the benzene ring. With this concept in mind, try to figure out which of the given positions of the amine group on the benzene ring will result in the highest basicity.
Complete step by step solution:
Let us first try to understand the trend in the basicity of amines before looking into this case in particular to try and answer this question.
The basicity of amines of different classes do not follow a simple pattern because the number of groups bonded to nitrogen affects the electron density at the nitrogen atom. And, the stability of the conjugate acid in the solvent has a major effect on basicity. Thus, the basicity of amines can be explained only for amines with similar structures at the nitrogen atoms.
The basicity of an amine is increased by electron-donating groups and decreased by electron-withdrawing groups. Aryl amines are less basic than alkyl-substituted amines because some electron density provided by the nitrogen atom is distributed throughout the aromatic ring.
The basicity of heterocyclic amines depends on the location of the electron pair of the nitrogen atom, its hybridization, and whether or not resonance stabilization is possible. Let us apply this concept to the given question.
The lone pair on the nitrogen atom of −NH2 group is in resonance with the benzene ring. Due to this resonance, the electron density is maximum in ortho and para positions. Due to this, the basicity is maximum in I. The electron density is minimum in meta position. Therefore, the basicity is minimum in II.
Now upon careful observation of structure III, we find that there is possibility of H bonding between ring nitrogen and the amino group. Hence, III is less basic than I. Therefore, final order of basicity is I >III > II.
This result in the answer being A. I > III > II
Note: In pyrrole, the electron pair is part of the aromatic system. As a result, pyrrole is a very weak base. Pyridine is a weaker base than saturated amines of similar structure because its electron pair is in an sp2 hybridized orbital, and the electron pair is more tightly held by the atom. Protonation of a similar nitrogen atom in pyrimidine is more favourable because the charge is delocalized to the second nitrogen atom.
