Question
Question: The number of amino acids and peptide bonds in a linear tetrapeptides (made of different amino acids...
The number of amino acids and peptide bonds in a linear tetrapeptides (made of different amino acids) are respectively:
A.4 and 4
B.5 and 5
C.5 and 4
D.4 and 3
Solution
Here tetra means four and peptide means a compound in which one or more amino acids are linked to each other by peptide linkage. Draw four amino acids of your choice and link them by simple removal of water.
Complete step by step answer:
Before going to the solution we need to understand all the terminology used in the given question.
Amino Acids- Amino acids are the building block of proteins. These are the organic molecules containing an amino group −NH2, a carboxylic acid group −COOH and an alkyl group. Every amino acid has the same basic structure and different alkyl group.
Peptide bonds- It is the bonding between the two amino acids where the carboxylic group of one amine reacts with the amino group of other amine. There is a formation of −CONH bond by simple removal of water. This bond is peptide bond or peptide linkage.
Linear tetrapeptides- Tetra means four i.e. four amines are linked together in a linear chain to form a peptide linkage.
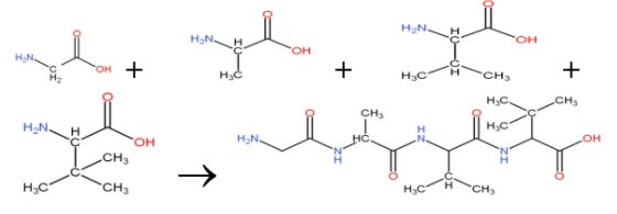
Let's take glycine ,alanine ,leucine and isoleucine

Here we can see that the carboxylic group of glycine gets attached to the ammonia group of alanine by removing water and then further alanine linked with leucine in the same manner and so on.
In the product we can clearly see that there are only 3 −CONH bonds.
Hence the correct option is D.
Note:
If there are n number of amino acids, then there will be n−1 number of peptide linkages. As for making a peptide bond, a minimum of two amino acids are required.
