Question
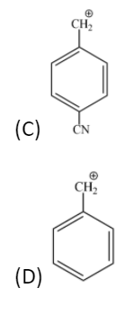
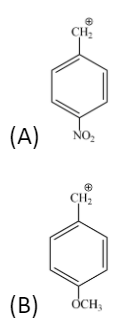
Question: The most stable carbocation? 

Solution
Substitution on the benzene ring can affect the placement of additional substituents on that ring during Electrophilic atomic substitution. The formation of products and its stability depends on the nature of electron-donating groups and electron-withdrawing groups.
Complete step by step solution:
When an electron releasing or an electron-withdrawing species is introduced to chain atoms, the corresponding negative or positive charge is relayed through the carbon chain by the atoms or groups cause’ permanent dipole to arise in the molecule is an inductive effect.
In an aromatic benzene ring, electron-donating groups increase the stability of the carbocation with resonance structures.
−OCH3 The group is an electron-donating group, which increases the stability of carbocation by resonance. This electron-donating group can be recognized by lone pairs on the atom adjacent to the π system.

The functional groups −CN,−NO2 are electron-withdrawing groups. These groups can be recognized either by an atom adjacent to the πsystem having several bonds to more electronegative atoms, or having a formal positive charge or partial positive charge. These electron-withdrawing groups remove electron density from the benzene ring of the πsystem making it less nucleophilic.
Hence the most stable carbocation is option B.
Note: These substituent effects are caused mainly due to resonance and inductive effects. These effects are playing a key role in other reactions and properties like the stability of canonical forms, the acidity of the substituted benzoic acids, and the acidity of unsaturated organic compounds.
