Question
Question: The molecule which does not oxidize using PCC? (A)  
(B) 
(C) 
(D) 
Solution
Alcohols are chemical compounds consisting of hydroxyl groups. Oxidation of alcohols by strong oxidizing agents gives carboxylic acids, while oxidizing agents give carbonyl compounds only. PCC is a weak oxidizing agent and reduces the primary alcohols to aldehydes and secondary alcohols to ketones.
Complete answer:
Reagents were classified into different types based on the different classifications. One of the classifications is oxidizing and reducing agents. Oxidizing agents are useful for the oxidation of other substances whereas they undergo reduction. Similarly reducing agents, themselves undergo oxidation and reduce the other substances.
Oxidizing agents were classified into two types. They are strong and weak oxidizing agents. PCC is known as pyridinium chlorochromate. It is a weak oxidizing agent.
PCC can oxidize the compounds which contain hydrogen atoms attached to the carbon atom adjacent to oxygen in the hydroxyl group.
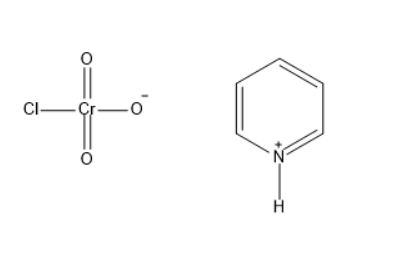
The structure of PCC is:

Option A does not consist of hydrogen atoms attached to carbon adjacent to oxygen of hydroxyl group. Thus, it is the correct answer.
In the options B, C, and D there was a hydrogen atom attached to the carbon adjacent to the oxygen of the hydroxyl group. Thus, these are not the correct answers.
Option A is nothing but phenol, which cannot be oxidized by using PCC.
Option A is the correct one.
Note:
As PCC is a weak oxidizing agent, it cannot oxidize the primary alcohols directly to carboxylic acids but oxidizes primary alcohols to aldehydes only. It can oxidize only primary and secondary alcohols but not tertiary alcohols.
