Question
Question: The major product ‘B’ in the given reaction sequence is: 
A.
B.
C.
D.
Solution
Osmium tetroxide is a volatile liquid with chemical formula OsO4 and reacts with alkene to form cis-diols. Osmium tetroxide is at advantage over potassium permanganate because it is much more compatible with other functional groups and is performed in mild conditions.
Complete answer:
The reaction of alkene with OsO4 work through a concerted process where two oxygen atoms from the osmium tetroxide interact with the double bond of the alkene results in formation of a five membered ring which is known as osmate ester with syn stereochemistry. The osmate ester is broken into diol in the presence of reducing agents such as sodium bisulphite (NaHSO3) . The given reaction proceeds as follows:

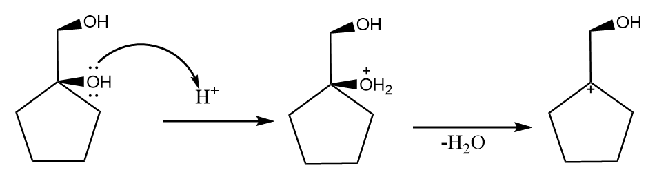
Now, when the product A i.e., diol is further reacted with hydrogen ion, then the dehydration reaction takes place along with the formation of a carbocation. The reaction proceeds as follows:

Hydride shift will take place and a new carbocation will be formed as follows:

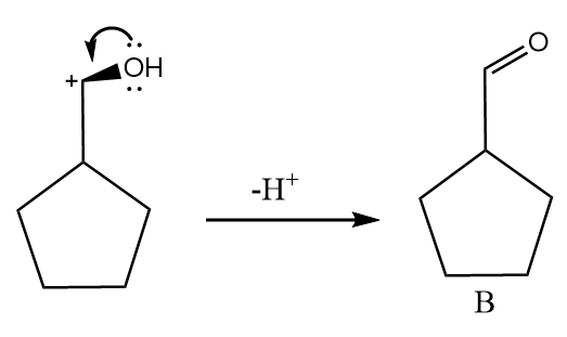
The oxygen atom behaves as a nucleophile and donates its lone pair of electrons to the carbocation by forming a double bond and removal of hydrogen ion takes place. The reaction proceeds as follows:

Hence, the major product B formed in the given reaction sequence is cyclopentane carbaldehyde and its structurally represented as follows:

Thus, option (B) is the correct answer.
Note:
It is important to note that as alkene is planar in structure, the attack of osmium tetroxide can either be above the plane or below the plane of alkene. Also, while hydrogen ions attack on diol, there is another possible carbocation which is a primary carbocation and hence, unstable. Therefore, the product formed by primary carbocation is considered as a minor product.
