Question
Question: The IUPAC name of the compound is: 
A.3-keto-2-methylhex-5-en-al
B.3-keto-2-methylhex-4-en-al
C.5-formylhex-2-en-3-one
D.5-methyl-4-oxohex-2-en-5-al
Solution
Find the possible longest parent chain. Identify the functional groups and side chain present.Then arrange them alphabetically.
Complete step by step answer:
-IUPAC is a systematic nomenclature of organic compounds. It consists of certain rules that help to decide the unique name of a compound. Let's go through with rules to solve this question.
-IUPAC name includes three things
Word root- It is the number of longest possible carbon chains of the molecule. Or we call it the Parent chain.
Suffix- Suffix tells whether the carbon is saturated or unsaturated. Here we also have to see which functional group is present. We use the suffix with respect to the function group for e.g. if aldehyde is present ,then we will use ‘al’ or alcohol is present then we will use ‘ol’.
Prefix- prefix is used to distinguish between cyclic or acyclic compounds. It also includes the side chains involved. In short an IUPAC name consists of prefix +word root +suffix.
Lowest number rule- number the carbon atoms of the parent chain that gives lowest number to the substituents attached.
Arrange them in alphabetical order.
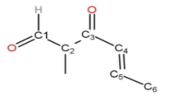
-Now look at the compound given -
The longest carbon chain is of 6 carbon containing aldehyde, alkene and ketone groups. The priority order of aldehyde is greater than ketone. Hence the parent chain will start from aldehyde. Suffix used will be ‘al’ , ’ene’ and ‘one’. There is a presence of a methyl group we will take it as a prefix. Now apply the lowest number rule

So, the name of the given compound will be 3-keto-2-methylhex-4-en-al.
Hence, the correct option is B.
Note:
IUPAC provides a structure that creates an international standard for naming organic compounds. This structure provides a unique and unambiguous name to the structure.
Always follow IUPAC rules. For example, first decide the word root then identify suffixes followed by prefixes.
