Question
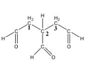
Question: The IUPAC name of the compound is: 
(a)- 1, 2, 3- triformyl propane
(b)- 3- formyl- 1, 5- pentanedial
(c)- Propane-1, 2, 3- trial
(d)- Propane-1, 2, 3- tricarbaldehyde
Solution
In the compound given, we can see there are three carbonyl groups, therefore it has a functional group either aldehyde or ketone. First, we have to open the chain and count the number of carbon atoms in the chain, then the numbering is given to the carbon atom and the numbering is given in such a way that the functional groups are given the lowest number.
Complete step-by-step answer: For the naming of an organic compound, there are some rules that must be followed like finding the longest chain, and if any functional group is present in the carbon chain, then the number is done in such a way that either the number starts from the functional group or the functional group gets the lowest number.
So, first, we have to open the given compound in the question.

In this, we can see that there is a chain of 3 carbon atoms and at each carbon atom there is one aldehyde group present, so it is a tricarbaldehyde compound.
For the chain of three carbon atoms we use propane term and since it is a tricarbaldehyde compound, combining it we can name the compound as propane-1, 2, 3-tricarbaldehyde.
Therefore, the correct answer is an option (d).
Note: You may get confused that its name will be 3-Formyl-1, 5-pentanedial, which is also correct but in IUPAC form its name is written as Propane-1, 2, 3-tricarbaldehyde. Mostly carbaldehyde is used for naming the aromatic aldehyde compounds.
