Question
Question: The IUPAC name of \(C{H_3} - C{H_2} - CH\left( {C{H_3}} \right) - C\left( {{C_4}{H_9}} \right)\left(...
The IUPAC name of CH3−CH2−CH(CH3)−C(C4H9)(CH3)−CH3 is:
A. 3,4,4−trimethyloctane
B. 3,4,4−trimethylheptane
C. 2−ethyl−3,3−dimethylheptane
D. 2−butyl−2−methyl−3−ethylbutane
Solution
We can deduce the IUPAC name of an organic compound by using a given set of rules.
Complete step by step answer:
We can write the IUPAC name of the organic compounds belonging to alkane family, by following some given rules which are listed below:
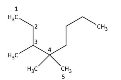
Firstly, we need to write down the structure of the compound by using the given formula. Here, we can see in the first glance that a five-carbon chain is present in which one CH3−group is attached to the third carbon atom and one CH3− group is attached to the fourth carbon atom. In addition to these, one C4H9− group is attached to the fourth carbon as well. We can draw the structure based on this information:

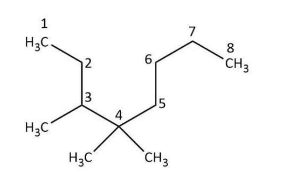
Next, we will identify the longest carbon chain. In the given compound the longest carbon chain has eight carbon atoms not five:

Now, we will identify the root names for the carbon chain and the substituents based on the number of carbon atoms. In CH3− group, there is only one carbon atom. So, we can derive its name from meth- to be a methyl group. The longest carbon chain has eight carbons for which the root name is oct- and the derived name would be octane.
In the next step, we will assign the positions to the substituents based on the number of carbon atom to which they are attached. In the given compound, we can see that one methyl group is present at the third carbon and two methyl groups are attached to the fourth carbon on the basis of above numbering.
Finally, we can use the above collected information to write the IUPAC name of the compound to be 3,4,4−trimethyloctane.
Thus, the correct option is A.
Note:
We have to be careful while numbering the branched chains as there are multiple possibilities.
