Question
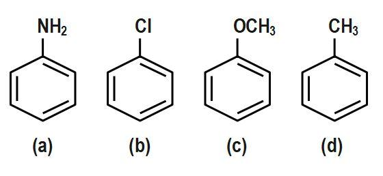
Question: The increasing order of nitration of the following compounds is: 
A.(b)<(a)<(c)<(d).
B. (b)<(a)<(d)<(c).
C. (a)<(b)<(c)<(d).
D. (a)<(b)<(d)<(c).
Solution
We know that it is important to understand the concept of electrophilic aromatic substitution and the nature of attacking ions. Electrophiles are attracted to the aromatic system when nucleophilicity of the system is increased. This means that charge density should increase in the aromatic system. Identify if the groups withdraw electrons or donate electrons and thereby determine the order of reactivity
Complete answer:
Nitration is an electrophilic substitution reaction. Here, electrophile is, which reacts with the benzene ring. Rate of nitration is found to be directly proportional to the stability of carbocation intermediate. Electrophilic aromatic substitution also called E.A.S is an organic reaction in which an atom gets attached to the present aromatic system and replaces the hydrogen atom present. Some of the most important and known Electrophilic aromatic substitution reactions.
Nitration is an electrophilic aromatic substitution reaction. Methoxy and amino groups are strongly activating groups. Methyl group is a weakly activating group. Since among methyl and methoxy groups, methoxy groups are more reactive than methyl groups, (c) is more reactive than (d). Even-though amino group is strongly activating group, it gets protonated in presence of acid) to form anilinium ion which is strongly deactivating. Hence, (a) is less reactive than (c) and (d). The activating groups increase the electron density on the benzene ring and increase the rate of electrophilic aromatic substitution reaction. The deactivating group decreases the electron density on the benzene ring and decreases the rate of electrophilic aromatic substitution reaction.
Therefore, Option D is the correct answer.
Note:
Remember that the rate of nitration will be minimal as compared to all other given compounds. This is because it will show I and Reffect (due to I effect the electron withdrawing group will start withdrawing electrons from the adjacent carbon atom, and hence this will be no electrons available for donation, due to which rate of nitration will be less) due to which it will destabilize the carbocation.
