Question
Question: The following compounds are given to you: \(2 - \)bromopentane, \(2 - \)bromo\( - 2 - \) methylbut...
The following compounds are given to you:
2−bromopentane, 2−bromo−2− methylbutane, 1−bromopentane,
(a) Write the compound which is most reactive towards SN2 reaction.
(b) Write the compound which is optically active.
(c) Write the compound which is most reactive towards β− elimination reaction.
Solution
The SN2 reaction removal of a nucleophile and the attack of another nucleophile take place simultaneously. The compound with less steric hindrance will give the SN2 reaction faster. The compound having a chiral centre will be optically active. The compounds that give more substituted alkene will be more reactive towards β−elimination reaction.
Complete step by step answer:
The structures of all the compounds are as follows:

(a)
The full name of SN2 reaction is a bimolecular nucleophilic substitution reaction. In SN2 reaction, a nucleophile substitutes another nucleophile. The whole reaction takes place in one step.
The attacking nucleophile can approach the reactant easily if the reactant has less steric hindrance and thus facilitate the reaction via the SN2 mechanism. As the steric hindrance decreases the rate of reaction via SN2 mechanism increases.
The order of increasing steric hindrance in alkyl halide is as follows:
3∘>2∘>1∘
The order of decreasing reactivity of alkyl halide towards the SN2 reaction is as follows:
1∘>2∘>3∘
So, the rate of SN2 reaction will be high for 1−bromopentane.
(b)
The compounds in which the chiral centre is present are optically active.
2−bromopentane, the carbon attached with bromine, has four different substituents ( one methyl, one bromine, one hydrogen and one propyl group). So, it is optically active.
In 2−bromo−2− methylbutane, the carbon attached with bromine, has two different substituents but two same substituents (methyl group), so it is optically inactive.
Similarly the 1−bromopentane, is also optically inactive.
(c)
β−elimination reactions take place in presence of a base such as alcoholic potassium hydroxide.
When an alcoholic solution of potassium hydroxide reacts with an alkyl halide, the alkyl halide undergoes elimination reaction. The hydrogen halide eliminates and alkene forms.
The compound which gives more substituted alkene will be most reactive for β−elimination reaction because more substituted alkene is more stable alkene.
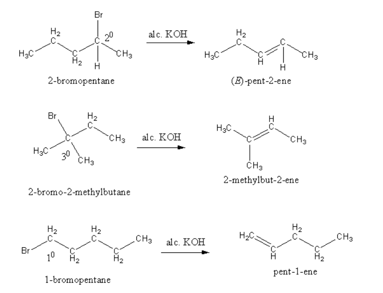
The product of β−elimination reaction of each compound is shown as follows;

So, 2−bromo−2− methylbutane gives more substituted alkene so, 2−bromo−2− methylbutane is most reactive for β−elimination reaction.
Therefore, the compound which is most reactive towards SN2reaction is 1−bromopentane. The optically active compound is 2−bromopentane. The compound which is most reactive towards β−elimination reaction is 2−bromo−2− methylbutane.
Note:
The rate of the SN2 reaction depends upon both of the reactants. In SN1 mechanism, carbocation forms as intermediate. So, the reactivity depends upon the stability of the carbocation. The order of decreasing reactivity of alkyl halide towards the SN1 reaction is as follows: 3∘>2∘>1∘. The carbon having four different substituents is known as the chiral centre. The more substituted alkene means the alkene having several alkyl groups attached with a double bond.
