Question
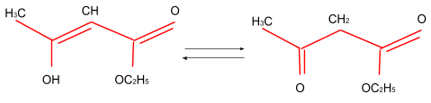
Question: The enolic form of ethyl acetoacetate as below has- 
(A) 9 sigma bonds and 2 pi-bonds
(B) 9 sigma bonds and 1 pi-bonds
(C) 18 sigma bonds and 2 pi-bonds
(D) 16 sigma bonds and 1 pi-bonds
Solution
Hint: First, we will draw a simplified view of the chemical structure of ethyl acetoacetate in order to understand the bonds between each element better. Once done so, simply count the bonds between the elements.
Complete step by step solution:

Sigma (σ) bonds are the strongest form of covalent chemical bond. These are made up of head-on overlapping between atomic orbitals. Sigma bonding is more clearly described for diatomic molecules using the symmetry group language and tools. Through this systematic solution, the bond becomes symmetrical with respect to the orientation of the bond axis.
Sigma bonds are the strongest type of covalent bonding due to the close overlap of orbitals, and the electrons in such bonding are often referred to as sigma electrons.
Usually, a single bond is a sigma bond, whereas a multiple bond is a sigma bond with pi or other bonds. A double bond contains a sigma and a pi bond, while a triple bond has a sigma and two pi bonds.
After counting the bonds very carefully, we come to this conclusion-
The above structure has 18 sigma (σ) bonds and 2 pi (π) bonds.
Hence it is clear that option C is the correct option.
Note: Pi bonds are covalent chemical bonds where two orbital lobes on one atom overlap two orbital lobes on another atom and this overlap happens laterally. Both of such atomic orbitals have zero electron density on a common nodal plane, going through the two bonded nodes. The same plane is also a nodal plane for the pi bond molecular orbital. Pi Bonds that develop in double and triple bonds, but in most cases do not shape in single bonds.
