Question
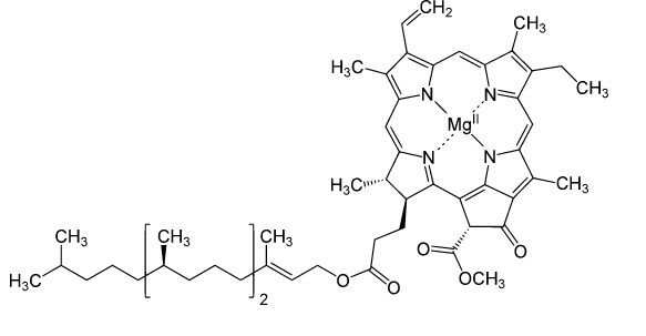
Question: The empirical formula for chlorophyll a is A. \({C_{35}}{H_{72}}{O_5}{N_4}Mg\) B. \({C_{65}}{H_...
The empirical formula for chlorophyll a is
A. C35H72O5N4Mg
B. C65H70O6N4Mg
C. C55H72O5N4Mg
D. C45H70O6N4Mg
Solution
Chlorophyll is a green coloured pigment found in the leaves which helps in the photosynthesis. Chlorophyll a and b are the two types of chlorophyll. The structure has a porphyrin ring joined to a phytol ring.
Complete answer:
Photosynthesis is the process in which light energy is transformed into chemical energy. Chlorophyll is the essential pigment which helps in the photosynthesis. It is present in green plants, cyanobacteria etc.
It achieves the energy from sunlight and by this energy carbon dioxide is converted to carbohydrates.
Chlorophyll is enclosed in the thylakoid membrane of chloroplast. Chlorophyll is the derivative of porphyrin with magnesium at the core.
In 1817 Joseph Bienaime and Caventou identified chlorophyll. Formula of chlorophyll is C55H72O6N4Mg.

Chlorophyll is vital for photosynthesis and absorbs sunlight and transfers it to other parts of the photosystem. Chlorophylls are of numerous types such as chlorophyll a,b, c and d.
But the most widely distributed form of chlorophyll in plants is chlorophyll due to which plants majorly show green colouration.
Chlorophyll a is insoluble in water and is the primary pigment for the process of photosynthesis. All organisms that perform photosynthesis contain essential chlorophyll a. Chlorophyll a is a specific form which is generally used in oxygenic photosynthesis.
Hence, the correct answer is option (C).
Note: The colours of the leaves is not due to a single pigment but due to four pigments chlorophyll a which gives blue green colour, chlorophyll b which gives yellow green colour, xanthophylls which gave yellow colour and carotenoids which gave yellow to yellow orange colour.
