Question
Question: The dipeptide, \(Gln - Gly\), on treatment with \(C{H_3}COCl\) followed by aqueous work up gives: ...
The dipeptide, Gln−Gly, on treatment with CH3COCl followed by aqueous work up gives:
A.
B. 
C. 
D.
Solution
To answer this question, you must recall the properties of dipeptides and their reactions. Polypeptides are compounds that have many amino acids hooked together. Gln−Gly is a polypeptide (dipeptide).
Complete step by step answer:
Dipeptides are organic compounds derived from two amino acids which may be the same or different. Many dipeptides are physiologically and commercially significant. They are white solids that are comparatively much more soluble in water than their parent amino acids. Dipeptides also show different stabilities with respect to their constituents.
For example, Gln cannot withstand sterilization processes whereas the peptide glycylglycine (Ala−Gln) does.
Dipeptides are susceptible to hydrolysis, and their high solubility is useful in infusions for providing nutrition.
Glycyl-glutamine is a dipeptide which is used as a substitute for glutamine in cell culture. Higher cell yields are obtained when it is used instead of glutamine, as it affects the substrate metabolism. As the concentrations of this dipeptide remain high, cell growth is high due to lower peptidase affinity. Gln−Gly is used for the preparation of glutamine solution in human tubal fluid medium to assess the accumulation of ammonium ion in available culture media and protein supplements that are used for in vitro development of human pre-implantation embryos.
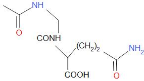
Gln−Gly after treatment with CH3COCl, when exposed to aqueous conditions forms
The correct option is A.
Note:
Proteins are large molecules present in our cells having important roles in multiple cellular functions. All proteins are formed by building blocks called amino acids. Multiple amino acids are bonded together to make a protein. There are 21 different types of amino acids, and each one is a bit different from the other. But all amino acids have the same molecular backbone. As the name suggests, all amino acids have an amine group and a carboxyl group.
