Question
Question: The correct sequences of reagents for the following conversion will be: 2]+OH−
B. CH3MgBr,[Ag(NH3)2]+OH−,H+/CH3OH
C. [Ag(NH3)2]+OH−,CH3MgBr,H+/CH3OH
D. [Ag(NH3)2]+OH−,H+/CH3OH,CH3MgBr
Solution
We can deduce the correct sequence by considering as to what each given reagent is used for and how it can be used here to bring out the specific conversion.
We are given three reagents as CH3MgBr,H+/CH3OH and [Ag(NH3)2]+OH−. Let’s talk about these briefly.
Complete answer
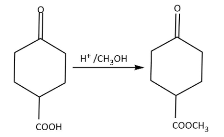
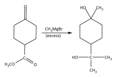
The first reagent is methyl magnesium bromide and can be recognized to be a Grignard reagent. We know that Grignard reagent has a nucleophilic carbon that is attached to magnesium and can be used to attack an electrophilic carbon. Our second reagent is acid and methanol taken together. We know that it can be used for esterification of a carboxylic acid. The last reagent is Tollen’s reagent that we can use for oxidizing an aldehyde to give a carboxylic acid.
Now, let’s consider the reactant, it has a ketone as well as an aldehyde group. First of all, we will use the Tollen’s reagent for selective oxidation of aldehyde as follows:
Now we can use the acid and methanol to carry out the esterification as follows:
Finally, we will use the given Grignard reagent, methyl magnesium bromide to carry out the conversion as follows:
Hence, we have to use the given reagents in the following sequence: firstly, Tollen’s reagent, followed by acid with methanol and finally methyl magnesium bromide (Grignard reagent).
**Hence, the correct option is D.
Note: **
We can use Tollen’s reagent for differentiating between an aldehyde and ketone as it is a mild oxidizing agent and oxidized only aldehyde not ketone.