Question
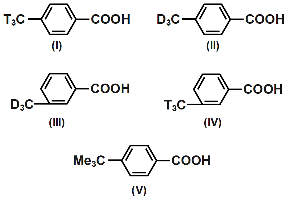
Question: The correct order of acidity in the given compound is 
(A) V>III>IV>I>II
(B) I>II>IV>III>V
(C) III>IV>V>I>II
(D) IV>III>V>I>II
Solution
Hint : We know that the Electron donating group tends to decrease the acidic strength of phenols and the electron withdrawing group tends to increase the acidic strength phenols. Electron-donating substituents decrease the acidity of the benzoic acid because they decrease the stability of the carboxylate ion.
Complete Step By Step Answer:
An acid is formed by the removal of hydrogen ions from a molecule. Now if the hydrogen ions are removed from phenol and phenoxide ion is formed which is an anion. The stability of this anion will determine whether the compound will be more acidic or less acidic. The more stable this negative charge will be, more will be the acidic character. Electron donating groups tend to increase the electron density hence destabilizing the negative charge and making the molecule less acidic whereas the electron withdrawing makes the compound more acidic by withdrawing some negative charge from the molecule and stabilizing it. The more electron donating tendency any group has, the less acidic it will be with less acidic strength. Electron-withdrawing substituents increase the acidity of the benzoic acid because they increase the stability of the carboxylate ion.
+I-Effect and +R-Effect intensifies the negative charge on the carboxylate ion thereby making the carboxylate ion less stable and decreases the acidity of the benzoic acid. –I-Effect and –R-Effect disperse the negative charge on the carboxylate ion thereby making the carboxylate ion more stable and increase the acidity of the benzoic acid. In structure (II) and (II), the meta-hydroxybenzoic acid, D3C group cannot exerts +R-effect but can only exert –I-effect and in para-hydroxybenzoic acid, the D3C group has a strong +R-effect and it has a weak –I-effect. So, meta hydroxybenzoic acid is more acidic than para-hydroxybenzoic acid.
Therefore, correct order of acidity in the given compound is III>IV>V>I>II i.e. Option C.
Note :
Remember that the acid-weakening effect of the electron-donating group and acid-strengthening effect of the electron withdrawing group is more pronounced at the para than at meta position of the benzoic acid. This is due to the resonating structure of the benzoic acid.
