Question
Question: The Atwood machine in the figure has a third mass attached to it by a limp string. After being relea...
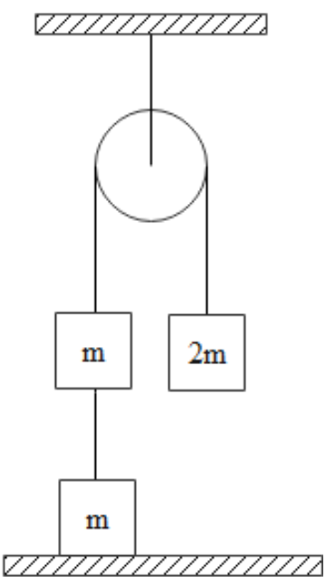
The Atwood machine in the figure has a third mass attached to it by a limp string. After being released, the 2m mass falls a distance x before the limp string becomes taut. Thereafter both the mass on the left rise at the same speed. What is the final speed? Assume that the pulley is ideal.

Solution
We will be using the impulse equation and the force equation for the pulley to get the final speed. The ideal pulley concept is used. A free body diagram can be drawn to understand how the force equation can be formed. Newton’s law has been used to calculate the force exerted by the mass.
Formula used: Force F=ma
Impulse Δp=FΔt
Complete step-by-step solution:
__
Let us first consider the system when the string is limp. If we consider a to be the acceleration of the masses before the string becomes taut then we can write the following expression for the motion of the system.
2mg−mg=(2m+m)a⇒mg=3ma⇒a=3g
This is the value of the acceleration of masses m and 2m before the string becomes taut. Now let us use the following equation of motion to find out the velocity, which is given as
v2−u2=2aS
The initial velocity of these masses is zero; u=0. Therefore, we can write that
v2=32gx v=32gx
Here x is the distance to which the mass 2m will fall before the string tightens up.
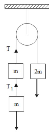
Now let the tension T1 due to the second mass m is acting on the system when the string becomes taut. When this tension develops, it acts as an impulse for some time dt. We are given that all the masses move with uniform velocity after the string becomes taut, so let this velocity be c.
Now, we can write the following expression using the impulse-momentum theorem where the impulse J acting on the system is equal to the change in momentum of the system.
J=Fdt=Δmv
Writing this expression for all the masses we get
For the second mass m on the bottom, T1dt=mc …(i)
Here T1 is the tensional force acting on this mass.
For the mass m above it, (T−T1)dt=mc−mv ...(ii)
Here T−T1 is the tensional force acting on two masses.
And similarly, for the mass 2m, −Tdt=2mc−2mv ...(iii)
Adding these three equations we get
0=4mc−3mv ⇒c=43v
Inserting the value of v obtained earlier, we get
c=4332gx=16×39×2gx=83gx
This is the final speed of the masses and the required answer.
Note: Impulse acting on a system can be defined as the sudden change in force occurring in a very short interval of time. In the given system, the impulse occurs due to the tension developed in the pulley when the lower string becomes taut.
